题目内容
中国首个月球探测计划“嫦娥工程”预计在2017年送机器人上月球,实地采样送回地球,为载人登月及月球基地选址做准备.设想我国宇航员随“嫦娥”号登月飞船绕月球飞行,飞船上备有以下实验仪器:A.计时表一只;B.弹簧秤一把;C.已知质量为m的物体一个;D.天平一只(附砝码一盒).在飞船贴近月球表面时可近似看成绕月球做匀速圆周运动,宇航员测量出飞船在靠近月球表面的圆形轨道绕行N圈所用的时间为t.飞船的登月舱在月球上着陆后,遥控机器人利用所携带的仪器又进行了第二次测量,利用上述两次测量所得的物理量可出推导出月球的半径和质量.(已知万有引力常量为G)(1)机器人进行第二次测量的内容是什么?
(2)试推导用上述测量的物理量表示的月球半径和质量的表达式.
【答案】分析:(1)机器人在月球上用弹簧秤竖直悬挂物体,静止时读出弹簧秤的读数F,即为物体在月球上所受重力的大小.
(2)静止时读出弹簧秤的读数F,求出月球表面重力加速度.不考虑月球的自转影响,根据重力近似等于月球的万有引力,列方程得出月球表面重力加速度与月球半径的关系式,再飞船在绕月球运行时,由万有引力提供飞船做圆周运动的向心力列方程,得到月球质量与月球半径、飞船周期的关系式,再联立求解月球半径和质量的表达式.
解答:解:(1)机器人在月球上用弹簧秤竖直悬挂物体,静止时读出弹簧秤的读数F,即为物体在月球上所受重力的大小.
(2)在月球上忽略月球的自转有

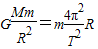
对飞船靠近月球表面做圆周运动有

又
由以上各式可得:
月球的半径
月球的质量
答:(1)机器人进行第二次测量的内容是测量物体在月球上所受的重力.
(2)月球的半径为
月球的质量为
点评:登月飞船绕月球旋转与人造卫星绕地球运行相似,要建立物理模型:飞船绕月做匀速圆周运动,由月球的万有引力提供飞船的向心力.
(2)静止时读出弹簧秤的读数F,求出月球表面重力加速度.不考虑月球的自转影响,根据重力近似等于月球的万有引力,列方程得出月球表面重力加速度与月球半径的关系式,再飞船在绕月球运行时,由万有引力提供飞船做圆周运动的向心力列方程,得到月球质量与月球半径、飞船周期的关系式,再联立求解月球半径和质量的表达式.
解答:解:(1)机器人在月球上用弹簧秤竖直悬挂物体,静止时读出弹簧秤的读数F,即为物体在月球上所受重力的大小.
(2)在月球上忽略月球的自转有
对飞船靠近月球表面做圆周运动有
又
由以上各式可得:
月球的半径
月球的质量
答:(1)机器人进行第二次测量的内容是测量物体在月球上所受的重力.
(2)月球的半径为
月球的质量为
点评:登月飞船绕月球旋转与人造卫星绕地球运行相似,要建立物理模型:飞船绕月做匀速圆周运动,由月球的万有引力提供飞船的向心力.
练习册系列答案
相关题目