题目内容
两颗人造地球卫星,它们的质量之比m1:m2=1:2,它们的轨道半径之比R1:R2=1:3,那么它们所受的向心力之比F1:F2= ;它们的角速度之比ω1:ω2= .
【答案】分析:根据万有引力提供向心力,列出等式表示出所要比较的物理量即可解题.
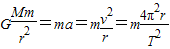
解答:解:(1)根据F=
得:
=
=
(2)根据
得:ω=
所以
=3
:1
故答案为:9:2;3
:1
点评:解决本题的关键是掌握万有引力提供向心力公式,即
=mω2r,难度不大,属于基础题.
解答:解:(1)根据F=
(2)根据
所以
故答案为:9:2;3
点评:解决本题的关键是掌握万有引力提供向心力公式,即
练习册系列答案
相关题目