题目内容
一平板车,质量M=100kg,停在水平路面上,车身的平板离地面的高度h=1.25m,一质量m=50kg的物块置于车的平板上,它到车尾端的距离b=1.00m,与车板间的动摩擦因数μ=0.20.如图所示.今对平板车施一水平方向的恒力使车向前行驶,结果物块从车板上滑落.物块刚离开车板的时刻,车向前行驶的距离s=2.0m,求物块落地时,落地点到车尾的水平距离s.不计路面与平板车间以及轮轴之间的摩擦,取g=10m/s2.
【答案】分析:以m为研究对象进行分析,m在车板上的水平方向只受一个摩擦力f的作用,所以m从A点运动到B点,做匀加速直线运动,根据牛顿第二定律及运动学基本公式求出运动到B点的速度、位移等,以小车为研究对象,求出平板车的速度;m从B处滑落时,以υB为初速度做平抛运动,根据平抛运动的基本公式求出运动的时间和位移,对平板车M,在m未滑落之前,水平方向受二力作用,即F和物块对平板车的摩擦力f,二者方向相反,当m从平板车的B点滑落以后,平板车水平方向只受F作用,做匀加速直线运动,分别根据运动学基本公式求出位移,进而可求得物块落地时,落地点到车尾的水平距离s
解答:解:(1)以m为研究对象进行分析,m在水平方向只受一个摩擦力f的作用,f=μmg,
根据牛顿第二定律知f=ma1
a1=μg=0.20×10m/s2=2m/s2
如图,

m从A点运动到B点,做匀加速直线运动,sAB=s-b=1.00m,
运动到B点的速度υB为:
υB=
m/s=2m/s
物块在平板车上运动时间为t1=
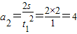
s=1s,在相同时间里平板车向前行驶的距离s=2.0m,则
s=
,所以平板车的加速度
m/s2
此时平板车的速度为 v2=a2t1=4×1=4m/s
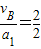
(2)m从B处滑落时,以υB为初速度做平抛运动,落到C的水平距离为s1,下落时间为t2,
则 h=
s
s1=vBt2=2×0.5m=1.0 m
对平板车M,在m未滑落之前,水平方向受二力作用,即F和物块对平板车的摩擦力f,二者方向相反,平板车加速度为a2,由牛顿第二定律得:F-f=Ma2
则有:F=Ma2+f=(100×4+0.2×50×10)N=500N
当m从平板车的B点滑落以后,平板车水平方向只受F作用,而做加速度为
a3的匀加速运动,由牛顿第二定律得:F=Ma3 即
m/s2
在m从B滑落到C点的时间t=0.5s内,M运动距离s2为
m
物块落地时,落地点到车尾的水平距离s为
s=s2-s1=(2.625-1)m=1.625m
答:物块落地时,落地点到车尾的水平距离s为1.625m.
点评:该题涉及到相对运动的过程,要求同学们能根据受力情况正确分析运动情况,并能熟练运用运动学基本公式解题,难度较大.
解答:解:(1)以m为研究对象进行分析,m在水平方向只受一个摩擦力f的作用,f=μmg,
根据牛顿第二定律知f=ma1
a1=μg=0.20×10m/s2=2m/s2
如图,
m从A点运动到B点,做匀加速直线运动,sAB=s-b=1.00m,
运动到B点的速度υB为:
υB=
物块在平板车上运动时间为t1=
s=
此时平板车的速度为 v2=a2t1=4×1=4m/s
(2)m从B处滑落时,以υB为初速度做平抛运动,落到C的水平距离为s1,下落时间为t2,
则 h=
s1=vBt2=2×0.5m=1.0 m
对平板车M,在m未滑落之前,水平方向受二力作用,即F和物块对平板车的摩擦力f,二者方向相反,平板车加速度为a2,由牛顿第二定律得:F-f=Ma2
则有:F=Ma2+f=(100×4+0.2×50×10)N=500N
当m从平板车的B点滑落以后,平板车水平方向只受F作用,而做加速度为
a3的匀加速运动,由牛顿第二定律得:F=Ma3 即
在m从B滑落到C点的时间t=0.5s内,M运动距离s2为
物块落地时,落地点到车尾的水平距离s为
s=s2-s1=(2.625-1)m=1.625m
答:物块落地时,落地点到车尾的水平距离s为1.625m.
点评:该题涉及到相对运动的过程,要求同学们能根据受力情况正确分析运动情况,并能熟练运用运动学基本公式解题,难度较大.
练习册系列答案
相关题目