题目内容
质量m=20kg的物体.在水平恒力F的作用下,沿水平面做直线运动.已知物体开始向右运动,物体的v-t图象如图所示.(g=l0m/s2)(1)求出这两个过程物体运动的加速度和方向;
(2)求出水平恒力F的大小和方向;
(3)求物体与水平面间的动摩擦因数μ..
【答案】分析:由斜率求出加速度,分析求出前2s内和后2s内物体的加速度大小和方向,再根据牛顿第二定律求出拉力F和摩擦力的大小,从而求出动摩擦因数.
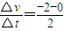
解答:解:(1)由斜率等于加速度的大小,得到:前2s内和后2s内物体的加速度分别为
a1=
=-5m/s2,
a2=
=-1m/s2,
负号表示方向,所以这两个过程加速度方向都向左;
(2)根据牛顿第二定律得:
-F-f=ma1;-F+f=ma2,
代入解得:F=60N,f=40N.
力F的方向向左
(3)由f=μmg得,μ=
答:(1)这两个过程物体运动的加速度大小分别为5m/s2和1m/s2,方向都向左;
(2)水平恒力F的大小为60N,方向向左;
(3)物体与水平面间的动摩擦因数为0.2
点评:本题实际上通过速度反映了物体的运动情况,抓住斜率等于加速度,根据牛顿第二定律求解拉力.属于知道了物体的运动情况,确定物体受力情况的类型.
解答:解:(1)由斜率等于加速度的大小,得到:前2s内和后2s内物体的加速度分别为
a1=
a2=
负号表示方向,所以这两个过程加速度方向都向左;
(2)根据牛顿第二定律得:
-F-f=ma1;-F+f=ma2,
代入解得:F=60N,f=40N.
力F的方向向左
(3)由f=μmg得,μ=
答:(1)这两个过程物体运动的加速度大小分别为5m/s2和1m/s2,方向都向左;
(2)水平恒力F的大小为60N,方向向左;
(3)物体与水平面间的动摩擦因数为0.2
点评:本题实际上通过速度反映了物体的运动情况,抓住斜率等于加速度,根据牛顿第二定律求解拉力.属于知道了物体的运动情况,确定物体受力情况的类型.
练习册系列答案
相关题目