ÌâÄ¿ÄÚÈÝ
ÈçͼËùʾ£¬ÖÊÁ¿¾ùΪmµÄÁ½ÎïÌåA£®B·Ö±ðÓëÇáÖʵ¯»ÉµÄÁ½¶ËÏàÁ¬½Ó£¬½«ËüÃǾ²Ö¹·ÅÔÚµØÃæÉÏ£®Ò»ÖÊÁ¿Ò²ÎªmµÄСÎïÌåC´Ó¾àAÎïÌåh¸ß´¦Óɾ²Ö¹¿ªÊ¼ÏÂÂ䣮CÓëAÏàÅöºóÁ¢¼´Õ³ÔÚÒ»ÆðÏòÏÂÔ˶¯£¬ÒÔºó²»ÔÙ·Ö¿ª£®µ±AÓëCÔ˶¯µ½×î¸ßµãʱ£¬ÎïÌåB¶ÔµØÃæ¸ÕºÃÎÞѹÁ¦£®²»¼Æ¿ÕÆø×èÁ¦£®µ¯»ÉʼÖÕ´¦ÓÚµ¯ÐÔÏÞ¶ÈÄÚ£®ÒÑÖªÖØÁ¦¼ÓËÙ¶ÈΪg£®Çó£º
£¨1£©AÓëCÒ»Æð¿ªÊ¼ÏòÏÂÔ˶¯Ê±µÄËÙ¶È´óС£»
£¨2£©µ¯»ÉµÄ¾¢¶ÈϵÊý£®
¡¾´ð°¸¡¿·ÖÎö£º£¨1£©¸ù¾Ý»úеÄÜÊØºã¶¨ÂÉÇó³öCÔ˶¯µ½AµãʱµÄËÙ¶È£¬¸ù¾ÝÅöײµÄ˲¼ä¶¯Á¿Êغ㣬Çó³öAÓëCÒ»Æð¿ªÊ¼ÏòÏÂÔ˶¯Ê±µÄËÙ¶È´óС£»
£¨2£©¸ù¾Ý¹²µãÁ¦Æ½ºâºÍºú¿Ë¶¨ÂÉ·Ö±ðÇó³ö³õʼλÖõ¯»ÉµÄѹËõÁ¿ºÍÎïÌåB¶ÔµØÃæÎÞѹÁ¦Ê±µ¯»ÉµÄÉ쳤Á¿£¬µÃ³öÁ½¸öλÖõÄÐαäÁ¿´óСÏàµÈ£¬µ¯ÐÔÊÆÄÜÏàµÈ£¬½áºÏÄÜÁ¿Êغ㶨ÂÉÇó³öµ¯»ÉµÄ¾¢¶ÈϵÊý£®
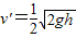
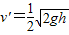
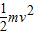
½â´ð£º½â£º£¨1£©ÉèСÎïÌåC´Ó¾²Ö¹¿ªÊ¼Ô˶¯µ½AµãʱËÙ¶ÈΪv£¬ÓÉ»úеÄÜÊØºã¶¨ÂÉ
mgh=
ÉèCÓëAÅöײճÔÚÒ»ÆðʱËÙ¶ÈΪv¡ä£¬Óɶ¯Á¿Êغ㶨ÂÉ
mv=£¨m+m£©v¡ä
Çó³ö
£®
£¨2£©É赯»ÉµÄ¾¢¶ÈϵÊýΪk
¿ªÊ¼Ê±A´¦ÓÚÆ½ºâ״̬£¬É赯»ÉµÄѹËõÐαäÁ¿Îª¡÷x
¶ÔAÓУºk¡÷x=mg
µ±AÓëCÔ˶¯µ½×î¸ßµãʱ£¬É赯»ÉÀÉìÐαäÁ¿Îª¡÷x¡ä
¶ÔBÓУºk¡÷x¡ä=mg
ÓÉÒÔÉÏÁ½Ê½µÃ£¬¡÷x=¡÷x¡ä
Òò´ËÔÚÕâÁ½¸öλÖÃʱµÄµ¯»Éµ¯ÐÔÊÆÄÜÏàµÈ£ºE=E¡ä£®
¶ÔAC£¬´ÓÔÆ½ºâλÖõ½×î¸ßµã£¬¸ù¾Ý»úеÄÜÊØºã¶¨ÂɵÃ

½âµÃk=
£®
´ð£º£¨1£©AÓëCÒ»Æð¿ªÊ¼ÏòÏÂÔ˶¯Ê±µÄËÙ¶È´óС
£®
£¨2£©µ¯»ÉµÄ¾¢¶ÈϵÊýk=
£®
µãÆÀ£º±¾Ìâ×ۺϿ¼²éÁË»úеÄÜÊØºã¶¨ÂÉ¡¢¶¯Á¿Êغ㶨ÂÉ¡¢ÄÜÁ¿Êغ㶨ÂÉÒÔ¼°¹²µãÁ¦Æ½ºâ£¬×ÛºÏÐÔ½ÏÇ¿£¬¹ØÏµÀíÇåÔ˶¯¹ý³Ì£¬Ñ¡ÔñºÏÊʵĹæÂɽøÐÐÇó½â£®
£¨2£©¸ù¾Ý¹²µãÁ¦Æ½ºâºÍºú¿Ë¶¨ÂÉ·Ö±ðÇó³ö³õʼλÖõ¯»ÉµÄѹËõÁ¿ºÍÎïÌåB¶ÔµØÃæÎÞѹÁ¦Ê±µ¯»ÉµÄÉ쳤Á¿£¬µÃ³öÁ½¸öλÖõÄÐαäÁ¿´óСÏàµÈ£¬µ¯ÐÔÊÆÄÜÏàµÈ£¬½áºÏÄÜÁ¿Êغ㶨ÂÉÇó³öµ¯»ÉµÄ¾¢¶ÈϵÊý£®
½â´ð£º½â£º£¨1£©ÉèСÎïÌåC´Ó¾²Ö¹¿ªÊ¼Ô˶¯µ½AµãʱËÙ¶ÈΪv£¬ÓÉ»úеÄÜÊØºã¶¨ÂÉ
mgh=
ÉèCÓëAÅöײճÔÚÒ»ÆðʱËÙ¶ÈΪv¡ä£¬Óɶ¯Á¿Êغ㶨ÂÉ
mv=£¨m+m£©v¡ä
Çó³ö
£¨2£©É赯»ÉµÄ¾¢¶ÈϵÊýΪk
¿ªÊ¼Ê±A´¦ÓÚÆ½ºâ״̬£¬É赯»ÉµÄѹËõÐαäÁ¿Îª¡÷x
¶ÔAÓУºk¡÷x=mg
µ±AÓëCÔ˶¯µ½×î¸ßµãʱ£¬É赯»ÉÀÉìÐαäÁ¿Îª¡÷x¡ä
¶ÔBÓУºk¡÷x¡ä=mg
ÓÉÒÔÉÏÁ½Ê½µÃ£¬¡÷x=¡÷x¡ä
Òò´ËÔÚÕâÁ½¸öλÖÃʱµÄµ¯»Éµ¯ÐÔÊÆÄÜÏàµÈ£ºE=E¡ä£®
¶ÔAC£¬´ÓÔÆ½ºâλÖõ½×î¸ßµã£¬¸ù¾Ý»úеÄÜÊØºã¶¨ÂɵÃ
½âµÃk=
´ð£º£¨1£©AÓëCÒ»Æð¿ªÊ¼ÏòÏÂÔ˶¯Ê±µÄËÙ¶È´óС
£¨2£©µ¯»ÉµÄ¾¢¶ÈϵÊýk=
µãÆÀ£º±¾Ìâ×ۺϿ¼²éÁË»úеÄÜÊØºã¶¨ÂÉ¡¢¶¯Á¿Êغ㶨ÂÉ¡¢ÄÜÁ¿Êغ㶨ÂÉÒÔ¼°¹²µãÁ¦Æ½ºâ£¬×ÛºÏÐÔ½ÏÇ¿£¬¹ØÏµÀíÇåÔ˶¯¹ý³Ì£¬Ñ¡ÔñºÏÊʵĹæÂɽøÐÐÇó½â£®
Á·Ï°²áϵÁдð°¸
Ïà¹ØÌâÄ¿