题目内容
一辆汽车以54km/h的速度正常行驶,来到路口遇上红灯,汽车先以0.5m/s2的加速度做匀减速直线运动,在路口停了2min,接着又以0.3m/s2的加速度做匀加速直线运动并恢复到原来的速度正常行驶.求这辆汽车通过这个路口所延误的时间.
【答案】分析:求出匀减速运动和匀加速运动的位移,再求出匀速行驶这段总位移的时间,和匀加速、匀减速与停止时间之和比较,求出所延误的时间.
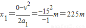
解答:解:匀减速运动的位移
,
匀减速运动的时间
匀加速运动的位移
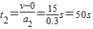
匀加速运动的时间
现在汽车通过该路口所需的时间t=t1+t2+t3=30+50+120s=200s
若汽车匀速通过该路口所需的时间
所延误的时间△t=t-t′=160s.
故这辆汽车通过这个路口所延误的时间为160s.
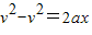
点评:解决本题的关键掌握匀变速直线运动的位移速度公式
,和速度时间公式v=v+at.
解答:解:匀减速运动的位移
匀减速运动的时间
匀加速运动的位移
匀加速运动的时间
现在汽车通过该路口所需的时间t=t1+t2+t3=30+50+120s=200s
若汽车匀速通过该路口所需的时间
所延误的时间△t=t-t′=160s.
故这辆汽车通过这个路口所延误的时间为160s.
点评:解决本题的关键掌握匀变速直线运动的位移速度公式
练习册系列答案
相关题目