题目内容
如图所示,长为L的轻绳一端系于固定点O,另一端系一质量为m的小球,将小球从O点正下方(1)小球水平抛出的初速度v;
(2)在绳被拉紧的瞬间,支点O受到的冲量.(忽略绳被拉紧的瞬间小球的重力冲量)
【答案】分析:(1)小球做平抛运动,根据竖直高度求出运动的时间,根据水平位移和时间求出小球的初速度.
(2)根据平抛运动的规律求出小球在绳子绷紧前的速度,根据动量定理求出在绳被拉紧的瞬间,支点O受到的冲量.
解答:解:(1)小球被抛出后到绳拉紧前做平抛运动,绳拉紧时,小球下落高度为
h=Lcos60°
=
水平位移x=Lsin60°=
平抛运动时间t=
.
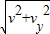
则小球抛出速度v=
(2)绳拉紧前瞬间,小球竖直分速度 vy=gt=
.
此时小球速度与竖直方向夹角为tanα=
解得 α=60°
则小球速度恰沿绳方向向外,绳拉紧时,使小球速度减为0,绳对小球的冲量
I=0-mv=-m
=-m
.
则绳对支点的冲量大小为m
,方向沿绳向外.
答:(1)小球水平抛出的初速度为
.
(2)在绳被拉紧的瞬间,支点O受到的冲量为大小为m
,方向沿绳向外.
点评:解决本题的关键知道平抛运动在水平方向和竖直方向上的运动规律,知道在绳被拉紧的瞬间绳子拉力远大于重力,重力的冲量可以忽略,通过动量定理求出O受到的冲量.
(2)根据平抛运动的规律求出小球在绳子绷紧前的速度,根据动量定理求出在绳被拉紧的瞬间,支点O受到的冲量.
解答:解:(1)小球被抛出后到绳拉紧前做平抛运动,绳拉紧时,小球下落高度为
h=Lcos60°
水平位移x=Lsin60°=
平抛运动时间t=
则小球抛出速度v=
(2)绳拉紧前瞬间,小球竖直分速度 vy=gt=
此时小球速度与竖直方向夹角为tanα=
解得 α=60°
则小球速度恰沿绳方向向外,绳拉紧时,使小球速度减为0,绳对小球的冲量
I=0-mv=-m
则绳对支点的冲量大小为m
答:(1)小球水平抛出的初速度为
(2)在绳被拉紧的瞬间,支点O受到的冲量为大小为m
点评:解决本题的关键知道平抛运动在水平方向和竖直方向上的运动规律,知道在绳被拉紧的瞬间绳子拉力远大于重力,重力的冲量可以忽略,通过动量定理求出O受到的冲量.
练习册系列答案
相关题目
|
| A、小球不能到达P点 | ||
B、小球到达P点时的速度大于
| ||
| C、小球能到达P点,且在P点受到轻杆向下的拉力 | ||
| D、小球能到达P点,且在P点受到轻杆向上的支持力 |