题目内容

如图甲所示,平行金属板A、B相距d,板间加有如图乙所示的电压,其中U0已知,A板上小孔O处有一静止的带电粒子,其电荷量为q、质量为m,从t=0时刻起被AB板间的电场加速向B板运动,途中由于电场反向,又向A返回(板间距离为d,电压周期为2 T).

(1)为使t=2 T时粒子刚好回到O点,Ux、U0的比值应满足什么条件;

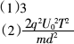
(2)当Ux、U0满足(1)中关系时,粒子返回O点时动能多大.

答案:
解析:

  答案:

  

  提示:

  

  


练习册系列答案
相关题目

违法和不良信息举报电话:027-86699610 举报邮箱:58377363@163.com

精英家教网