题目内容
(9分)一列简谐横波沿x轴正向传播,t=0时刻波形如图所示,振幅5cm,从图示时刻起经0.5s时间x=2的质点P刚好第二次出现波峰, 求:
![]()
①Q点第一次出现波峰时间
②P点1.1s时位移
③P点2s钟在波的传播方向上通过的路程
【答案】
①0.5s, ② -5cm, ③ 0
【解析】
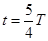
试题分析:①简谐横波沿x轴正方向传播,图示时刻P点的振动方向向上,经过
周期质点P出现第二次波峰,即有
,得到T=0.4s.当x=5m处质点的振动传到Q点时,Q第一次出现波峰.由图读出波长λ=4m.而x=5m处质点到Q点距离为x=5m=1.25λ,所以质点Q第一次出现波峰的时间是t=1.25T=0.5s.
② 由①的分析知,1.1s 内所含的周期数为
个周期,又因t=0时刻P点的振动方向向上,所以1.1s时P点振动到波谷,故1.1s时P点的位移为-5cm.
③ 机械波传播的只是振动的形式和能量,质点只在各自的平衡位置附近做简谐振动,并不随波迁移,故P点2s钟在波的传播方向上通过的路程为零.
考点: 本题考查了质点的振动与波动之间的联系、波长、频率和波速的关系、横波的图象,以及质振动方向与波的传播方向的关系,意考查考生对波的形成的理解及对波动图象的辨析.
练习册系列答案
相关题目
| A、此波沿x轴正方向传播 | B、此波的传播速度为50m/s | C、从t=0起经0.04s质点P沿传播方向移动了2m | D、质点P的振动方程为y=6sin25πt(cm) |
| A、该简谐波的波速等于10 m/s | B、t2=0.6 s时,质点C在平衡位置处且向下运动 | C、t2=0.6 s时,质点C在平衡位置处且向上运动 | D、当质点D第一次出现在正最大位移处时,质点B恰好在平衡位置且向下运动 |