题目内容

做匀减速直线运动直到静止的质点,在最后三个连续相等的运动时间内通过的位移之比是________,在最后三个连接相等的位移内所用的时间之比是________.

答案:略
解析:

531

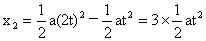
这一质点的运动可以看成初速度为零的匀加速直线运动的逆过程,设最初三个连续相等的时间为t,加速度为a,则每段时间的位移分别为

,所以位移之比为

.设最初三个连续相等的位移为L,加速度为a,则每段位移所用时间分别为.所以时间之比为

.再逆回去,所求的位移之比为531,时间之比为


练习册系列答案
相关题目

违法和不良信息举报电话:027-86699610 举报邮箱:58377363@163.com

精英家教网