题目内容
两颗人造卫星绕地球做匀速圆周运动,周期之比为
,则轨道半径之比和运动速率之比分别为
[ ]
A.![]()
B.![]()
C.![]()
D.![]()
答案:D
解析:
解析:
|
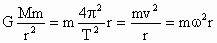
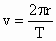
人造卫星运行时,向心力由万有引力提供,由
|
练习册系列答案
相关题目
两颗人造卫星绕地球做匀速圆周运动,它们的质量之比mA:mB=1:2,轨道半径之比rA:rB=3:1,某一时刻它们的连线恰好通过地心,下列说法中错误的是( )
A、它们的线速度之比vA:vB=1:
| ||
| B、它们的向心加速度之比aA:aB=1:9 | ||
| C、它们的向心力之比FA:FB=l:18 | ||
| D、它们的周期之比TA:TB=3:l |