题目内容
猎狗能以最大速度ν1=10m/s持续地奔跑,野兔只能以最大速度ν2=8m/s的速度持续奔跑.一只野兔在离洞窟s1=200m处的草地上玩耍,被猎狗发现后以最大速度朝野兔追来.兔子发现猎狗时与猎狗相距s2=60m,兔子立即跑向洞窟.设猎狗、野兔、洞窟总在同一直线上,则野兔的加速度至少要多大才能保证安全回到洞窟?
【答案】分析:先假设兔子一直加速,求出兔子到达洞窟的速度,与兔子的最大速度进行比较,从而判断出兔子的运动情况.抓住位移关系,运用运动学公式求出匀加速运动的时间,从而求出野兔的最小加速度.
解答:解:若野兔一直加速,临界情况到达洞窟时猎狗恰好追上野兔.
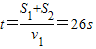
则猎狗的运动时间:
根据平均速度公式,对野兔有:
解得v=15.4m/s>8m/s
所以兔子先加速后匀速.
设加速的时间为t1
则
,解得t1=2s
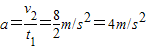
所以兔子的加速度为:
.
答;野兔的加速度至少为4m/s2才能保证安全回到洞窟.
点评:本题是运动学中的临界问题,当野兔以最小加速度运动时,则可知道猎狗刚好在洞窟处追上野兔,抓住位移关系,求出最小加速度.
解答:解:若野兔一直加速,临界情况到达洞窟时猎狗恰好追上野兔.
则猎狗的运动时间:
根据平均速度公式,对野兔有:
解得v=15.4m/s>8m/s
所以兔子先加速后匀速.
设加速的时间为t1
则
所以兔子的加速度为:
答;野兔的加速度至少为4m/s2才能保证安全回到洞窟.
点评:本题是运动学中的临界问题,当野兔以最小加速度运动时,则可知道猎狗刚好在洞窟处追上野兔,抓住位移关系,求出最小加速度.
练习册系列答案
相关题目