题目内容
如图所示,在y=0和y=2m之间有沿着x轴方向的匀强电场,MN为电场区域的上边界,在x轴方向范围足够大.电场强度的变化如图所示,取x轴正方向为电场正方向.现有一个带负电的粒子,粒子的(1)粒子通过电场区域的时间;
(2)粒子离开电场的位置坐标;
(3)粒子通过电场区域后沿x方向的速度大小.
【答案】分析:(1)粒子初速度方向垂直匀强电场,在电场中做类平抛运动,根据垂直电场方向做匀速运动即可求得运动时间;
(2)粒子在x方向先加速后减速,求出加速和减速时的加速度,根据位移公式即可求得坐标;
(3)根据匀变速直线运动速度时间公式分两个过程即可求解.
解答:解:(1)因粒子初速度方向垂直匀强电场,
在电场中做类平抛运动,
所以粒子通过电场区域的时间

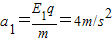
(2)粒子在x方向先加速后减速,加速时的加速度

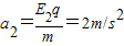
减速时的加速度
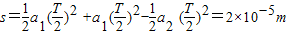
x方向上的

因此坐标
(-2×10-5m,2m)
(3)粒子在x方向的速度

答:(1)粒子通过电场区域的时间为4×10-3s;
(2)粒子离开电场的位置坐标为(-2×10-5m,2m);
(3)粒子通过电场区域后沿x方向的速度大小为4×10-3m/s.
点评:本题主要考查了牛顿第二定律在电场中的运用,注意电场力是周期性变化的,x方向先做匀加速后做匀减速运动,周期性交替,y方向匀速运动,难度适中.
(2)粒子在x方向先加速后减速,求出加速和减速时的加速度,根据位移公式即可求得坐标;
(3)根据匀变速直线运动速度时间公式分两个过程即可求解.
解答:解:(1)因粒子初速度方向垂直匀强电场,
在电场中做类平抛运动,
所以粒子通过电场区域的时间
(2)粒子在x方向先加速后减速,加速时的加速度
减速时的加速度
x方向上的
因此坐标
(-2×10-5m,2m)
(3)粒子在x方向的速度
答:(1)粒子通过电场区域的时间为4×10-3s;
(2)粒子离开电场的位置坐标为(-2×10-5m,2m);
(3)粒子通过电场区域后沿x方向的速度大小为4×10-3m/s.
点评:本题主要考查了牛顿第二定律在电场中的运用,注意电场力是周期性变化的,x方向先做匀加速后做匀减速运动,周期性交替,y方向匀速运动,难度适中.
练习册系列答案
相关题目