ÌâÄ¿ÄÚÈÝ
£¨1£©µç×Ó´©¹ýA°åʱµÄËÙ¶È´óС£»
£¨2£©µç×Ó´ÓÆ«×ªµç³¡Éä³öʱµÄ²àÒÆÁ¿£»
£¨3£©Pµãµ½OµãµÄ¾àÀ룮
¡¾´ð°¸¡¿·ÖÎö£º£¨1£©µç×ÓÔÚ¼ÓËٵ糡U1ÖÐÔ˶¯Ê±£¬µç³¡Á¦¶Ôµç×Ó×öÕý¹¦£¬¸ù¾Ý¶¯Äܶ¨ÀíÇó½âµç×Ó´©¹ýA°åʱµÄËÙ¶È´óС£®
£¨2£©µç×Ó½øÈëÆ«×ªµç³¡ºó×öÀàÆ½Å×Ô˶¯£¬´¹Ö±Óڵ糡·½Ïò×÷ÔÈËÙÖ±ÏßÔ˶¯£¬Ñص糡·½Ïò×÷³õËÙ¶ÈΪÁãµÄÔȼÓËÙÖ±ÏßÔ˶¯£®¸ù¾Ý°å³¤ºÍ³õËÙ¶ÈÇó³öʱ¼ä£®¸ù¾ÝÅ£¶ÙµÚ¶þ¶¨ÂÉÇó½â¼ÓËÙ¶È£¬ÓÉÎ»ÒÆ¹«Ê½Çó½âµç×Ó´ÓÆ«×ªµç³¡Éä³öʱµÄ²àÒÆÁ¿£®
£¨3£©µç×ÓÀ뿪ƫתµç³¡ºóÑØ´©³öµç³¡Ê±µÄËÙ¶È×öÔÈËÙÖ±ÏßÔ˶¯£¬Ë®Æ½·½Ïò£ºÎ»ÒÆÎªL2£¬·ÖËٶȵÈÓÚv£¬Çó³öÔÈËÙÔ˶¯µÄʱ¼ä£®ÊúÖ±·½Ïò£º·ÖËٶȵÈÓÚvy£¬ÓÉy=vytÇó³öÀ뿪µç³¡ºóƫתµÄ¾àÀ룬ÔÙ¼ÓÉϵ糡ÖÐÆ«×ªµÄ¾àÀëµÃ½â£®
½â´ð£º½â£º
£¨1£©Éèµç×Ó¾µçѹU1¼ÓËÙºóµÄËÙ¶ÈΪv£¬¸ù¾Ý¶¯Äܶ¨ÀíµÃ£º
e U1=
£¬½âµÃ£º
£¨2£©µç×ÓÒÔËÙ¶Èv½øÈëÆ«×ªµç³¡ºó£¬´¹Ö±Óڵ糡·½Ïò×÷ÔÈËÙÖ±ÏßÔ˶¯£¬Ñص糡·½Ïò×÷³õËÙ¶ÈΪÁãµÄÔȼÓËÙÖ±ÏßÔ˶¯£®ÉèÆ«×ªµç³¡µÄµç³¡Ç¿¶ÈΪE£¬µç×ÓÔÚÆ«×ªµç³¡Ô˶¯µÄʱ¼äΪt1£¬µç×ӵļÓËÙ¶ÈΪa£¬À뿪ƫתµç³¡Ê±Ïà¶ÔÓÚÔÔ˶¯·½ÏòµÄ²àÒÆÁ¿Îªy1£®
¸ù¾ÝÅ£¶ÙµÚ¶þ¶¨ÂɺÍÔ˶¯Ñ§¹«Ê½µÃ£º
a=
£¬ÓÖE=
£¬µÃa=
ˮƽ·½Ïò£ºt1=
£¬
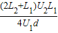
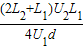
ÊúÖ±·½Ïò£ºy1=
£¬
½âµÃ£ºy1=
£¨3£©Éèµç×ÓÀ뿪ƫתµç³¡Ê±Ñص糡·½ÏòµÄËÙ¶ÈΪvy£®
¸ù¾ÝÔ˶¯Ñ§¹«Ê½µÃ£ºvy=at1=
µç×ÓÀ뿪ƫתµç³¡ºó×÷ÔÈËÙÖ±ÏßÔ˶¯£¬Éèµç×ÓÀ뿪ƫתµç³¡ºó´òÔÚÓ«¹âÆÁÉÏËùÓõÄʱ¼äΪt2£¬µç×Ó´òµ½Ó«¹âÆÁÉϵIJàÒÆÁ¿Îªy2£¬ÈçͼËùʾ
t2=
£¬y2=vyt2
½âµÃ£ºy2=
Pµ½OµãµÄ¾àÀëΪ y=y1+y2=
´ð£º£¨1£©µç×Ó´©¹ýA°åʱµÄËÙ¶È´óСΪ
£»
£¨2£©µç×Ó´ÓÆ«×ªµç³¡Éä³öʱµÄ²àÒÆÁ¿y1=
£»
£¨3£©Pµãµ½OµãµÄ¾àÀëy2=
£®
µãÆÀ£º´øµçÁ£×ÓÔڵ糡ÖÐÀàÆ½Å×Ô˶¯µÄÑо¿·½·¨ÓëÆ½Å×Ô˶¯ÏàËÆ£¬²ÉÓÃÔ˶¯µÄºÏ³ÉÓë·Ö½â£®µÚ£¨3£©ÎÊÒ²¿ÉÒÔÀûÓÃÈý½ÇÐÎÏàËÆ·¨Çó½â£®
£¨2£©µç×Ó½øÈëÆ«×ªµç³¡ºó×öÀàÆ½Å×Ô˶¯£¬´¹Ö±Óڵ糡·½Ïò×÷ÔÈËÙÖ±ÏßÔ˶¯£¬Ñص糡·½Ïò×÷³õËÙ¶ÈΪÁãµÄÔȼÓËÙÖ±ÏßÔ˶¯£®¸ù¾Ý°å³¤ºÍ³õËÙ¶ÈÇó³öʱ¼ä£®¸ù¾ÝÅ£¶ÙµÚ¶þ¶¨ÂÉÇó½â¼ÓËÙ¶È£¬ÓÉÎ»ÒÆ¹«Ê½Çó½âµç×Ó´ÓÆ«×ªµç³¡Éä³öʱµÄ²àÒÆÁ¿£®
£¨3£©µç×ÓÀ뿪ƫתµç³¡ºóÑØ´©³öµç³¡Ê±µÄËÙ¶È×öÔÈËÙÖ±ÏßÔ˶¯£¬Ë®Æ½·½Ïò£ºÎ»ÒÆÎªL2£¬·ÖËٶȵÈÓÚv£¬Çó³öÔÈËÙÔ˶¯µÄʱ¼ä£®ÊúÖ±·½Ïò£º·ÖËٶȵÈÓÚvy£¬ÓÉy=vytÇó³öÀ뿪µç³¡ºóƫתµÄ¾àÀ룬ÔÙ¼ÓÉϵ糡ÖÐÆ«×ªµÄ¾àÀëµÃ½â£®
½â´ð£º½â£º
e U1=
£¨2£©µç×ÓÒÔËÙ¶Èv½øÈëÆ«×ªµç³¡ºó£¬´¹Ö±Óڵ糡·½Ïò×÷ÔÈËÙÖ±ÏßÔ˶¯£¬Ñص糡·½Ïò×÷³õËÙ¶ÈΪÁãµÄÔȼÓËÙÖ±ÏßÔ˶¯£®ÉèÆ«×ªµç³¡µÄµç³¡Ç¿¶ÈΪE£¬µç×ÓÔÚÆ«×ªµç³¡Ô˶¯µÄʱ¼äΪt1£¬µç×ӵļÓËÙ¶ÈΪa£¬À뿪ƫתµç³¡Ê±Ïà¶ÔÓÚÔÔ˶¯·½ÏòµÄ²àÒÆÁ¿Îªy1£®
¸ù¾ÝÅ£¶ÙµÚ¶þ¶¨ÂɺÍÔ˶¯Ñ§¹«Ê½µÃ£º
a=
ˮƽ·½Ïò£ºt1=
ÊúÖ±·½Ïò£ºy1=
½âµÃ£ºy1=
£¨3£©Éèµç×ÓÀ뿪ƫתµç³¡Ê±Ñص糡·½ÏòµÄËÙ¶ÈΪvy£®
¸ù¾ÝÔ˶¯Ñ§¹«Ê½µÃ£ºvy=at1=
µç×ÓÀ뿪ƫתµç³¡ºó×÷ÔÈËÙÖ±ÏßÔ˶¯£¬Éèµç×ÓÀ뿪ƫתµç³¡ºó´òÔÚÓ«¹âÆÁÉÏËùÓõÄʱ¼äΪt2£¬µç×Ó´òµ½Ó«¹âÆÁÉϵIJàÒÆÁ¿Îªy2£¬ÈçͼËùʾ
t2=
½âµÃ£ºy2=
Pµ½OµãµÄ¾àÀëΪ y=y1+y2=
´ð£º£¨1£©µç×Ó´©¹ýA°åʱµÄËÙ¶È´óСΪ
£¨2£©µç×Ó´ÓÆ«×ªµç³¡Éä³öʱµÄ²àÒÆÁ¿y1=
£¨3£©Pµãµ½OµãµÄ¾àÀëy2=
µãÆÀ£º´øµçÁ£×ÓÔڵ糡ÖÐÀàÆ½Å×Ô˶¯µÄÑо¿·½·¨ÓëÆ½Å×Ô˶¯ÏàËÆ£¬²ÉÓÃÔ˶¯µÄºÏ³ÉÓë·Ö½â£®µÚ£¨3£©ÎÊÒ²¿ÉÒÔÀûÓÃÈý½ÇÐÎÏàËÆ·¨Çó½â£®
Á·Ï°²áϵÁдð°¸
Ïà¹ØÌâÄ¿