题目内容

宇航员站在一星球表面上某高处,沿水平方向抛出一个小球,经过时间t小球落到星球表面,测得抛出点与落地点之间的距离L.若抛出时的初速度增大到2倍,则抛出点与落地点之间的距离为.已知两次落地点在同一水平面上,该星球的半径为R,万有引力常数为G.求该星球的质量M.

答案:略
解析:

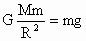
  设抛出点的高度为h,第一次水平位移为x,则有①,同理对于第二次平抛过程有②,由①②解得③,设该星球上重力加速度为g,由平抛运动规律得④,由万有引力定律与牛顿第二定律得⑤,由③④⑤解得

  本题是平抛运动规律和万有引力定律综合应用的问题,解题时要找出两者的联系量—重力加速度,并理清解题思路:先根据平抛运动的规律,求出重力加速度,再由万有引力和重力的关系求出星球的质量.


练习册系列答案
相关题目

违法和不良信息举报电话:027-86699610 举报邮箱:58377363@163.com

精英家教网