题目内容
如图(a)所示,一个电阻值为R,匝数为n的圆形金属线圈与阻值为2R的电阻R1连接成闭合回路,线圈的半径为r1,在线圈中半径为r2的圆形区域内存在垂直于线圈平面向里的匀强磁场,磁感应强度B随时间t变化的关系图线如图(b)所示.图线与横、纵轴的截距分别为t和B,导线的电阻不计.在0至t1时间内,求:(1)通过电阻R1上的电流大小和方向;
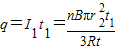
(2)通过电阻R1上的电荷量q
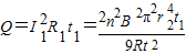
(3)电阻R1上产生的热量?
【答案】分析:线圈平面垂直处于匀强磁场中,当磁感应强度随着时间均匀变化时,线圈中的磁通量发生变化,从而导致出现感应电动势,产生感应电流.由楞次定律可确定感应电流方向,由法拉第电磁感应定律可求出感应电动势大小.而产生的热量则是由焦耳定律求出.
解答:解:(1)由图象分析可知,0至t1时间内
由法拉第电磁感应定律有
而
由闭合电路欧姆定律有
联立以上各式解得,通过电阻R1上的电流大小为
由楞次定律可判断通过电阻R1上的电流方向为从b到a
(2)通过电阻R1上的电量
(3)通过电阻R1上产生的热量
点评:考查楞次定律来判定感应电流方向,由法拉第电磁感应定律来求出感应电动势大小.还可求出电路的电流大小,及电阻消耗的功率.同时磁通量变化的线圈相当于电源.
解答:解:(1)由图象分析可知,0至t1时间内
由法拉第电磁感应定律有
由闭合电路欧姆定律有
联立以上各式解得,通过电阻R1上的电流大小为
由楞次定律可判断通过电阻R1上的电流方向为从b到a
(2)通过电阻R1上的电量
(3)通过电阻R1上产生的热量
点评:考查楞次定律来判定感应电流方向,由法拉第电磁感应定律来求出感应电动势大小.还可求出电路的电流大小,及电阻消耗的功率.同时磁通量变化的线圈相当于电源.
练习册系列答案
相关题目