ÌâÄ¿ÄÚÈÝ
£¨1£©Ò»ÁÐÑØxÖáÕý·½Ïò´«²¥µÄ¼òгºá²¨£¬µ±²¨´«µ½Oµãʱ¿ªÊ¼¼ÆÊ±£¬7.0sʱµÄ²¨ÐÎÈçͼAËùʾ£¬´Ëʱ²¨¸ÕºÃ´«²¥µ½x=3.5m´¦£¬¾Ý´Ë¿ÉÒÔÅж¨______A£®¸Ã²¨µÄÕñ¶¯ÖÜÆÚΪ5.6s
B£®²¨Ô´µÄÆðÕñ·½Ïò¿ÉÄÜÏòÉÏ
C£®¸Ã²¨µÄ²¨ËÙÒ»¶¨ÊÇ0.5m/s
D£®ÔÙ¾¹ý1.2s£¬x=1.5m´¦µÄÖʵãÕýÔÚÏòÉÏÔ˶¯
£¨2£©Ò»Êøµ¥É«¹âб×ÅÉäÏò²¢´©¹ýÒ»ºñ¶ÈΪdµÄ²£Á§×©£®ÒÑÖª¸Ã²£Á§×©¶Ôµ¥É«¹âµÄÕÛÉäÂÊΪn£¬µ¥É«¹âµÄÈëÉä½ÇΪ¦Á£¬¹âÔÚÕæ¿ÕÖеĴ«²¥ËÙ¶ÈΪc£®Ç󣺸ÃÉ«¹â´©¹ý²£Á§×©ËùÓõÄʱ¼äÓëÈëÉä½Ç¦ÁºÍÕÛÉäÂÊnµÄ¹ØÏµ£®
¡¾´ð°¸¡¿·ÖÎö£º£¨1£©ÓÉͼ֪£¬²¨´«²¥µÄ¾àÀëΪx=3.5m£¬ËùÓÃʱ¼äΪt=7s£¬ÓÉv=
Çó³ö²¨ËÙ£®²¨Ô´µÄÆðÕñ·½ÏòÓëͼʾʱ¿Ìx=3.5m´¦ÖʵãµÄÕñ¶¯·½ÏòÏàͬ£¬Óɲ¨µÄ´«²¥·½ÏòÅжϣ®ÓÉv=
Çó³öÖÜÆÚ£¬¸ù¾Ýʱ¼ä1.2sÓëÖÜÆÚµÄ¹ØÏµ£¬ÅжÏx=1.5m´¦ÖʵãµÄÔ˶¯×´Ì¬£®
£¨2£©¸ù¾ÝÕÛÉ䶨ÂÉÇó³öÕÛÉä½Ç£¬Óɼ¸ºÎ¹ØÏµÇó¹âÔÚ²£Á§ÖÐͨ¹ýµÄ·³Ìs£¬¹âÔÚ²£Á§ÖеÄËÙ¶ÈΪv=
£¬Ôò¸ÃÉ«¹â´©¹ý²£Á§×©ËùÓõÄʱ¼äΪt=
£®
½â´ð£º½â£º£¨1£©A¡¢C¸Ã²¨µÄ²¨ËÙΪv=
=
=0.5m/s£¬ÓÉͼ֪²¨³¤Îª¦Ë=2m£¬ÔòÖÜÆÚΪT=
=
£®¹ÊA´íÎó£¬CÕýÈ·£®
B¡¢²¨Ô´µÄÆðÕñ·½ÏòÓëͼʾʱ¿Ìx=3.5m´¦ÖʵãµÄÕñ¶¯·½ÏòÏàͬ£¬¼òгºá²¨ÑØxÖáÕý·½Ïò´«²¥£¬ÔòÖªx=3.5m´¦ÖʵãµÄÕñ¶¯·½ÏòÏòÏ£®¹ÊB´íÎó£®
D¡¢Í¼Ê¾Ê±¿Ìx=1.5m´¦µÄÖʵãÕý¾Æ½ºâλÖÃÏòÏÂÔ˶¯£¬ÔÙ¾¹ýt=1.2s=0.6T£¬x=1.5m´¦µÄÖʵãÕýÔÚÏòÉÏÔ˶¯£®¹ÊDÕýÈ·£®
¹ÊÑ¡CD
£¨2£©ÉèÕÛÉä½ÇΪr£®ÓÉÕÛÉ䶨Âɵã¬n=
Éè¹â͸¹ý²£Á§Ëù×ߵķ³ÌΪs£¬ËùÓÃʱ¼äΪt£¬Ôò
s=
£¬
¹âÔÚ²£Á§ÖÐËÙ¶ÈΪv=
Ôò¸ÃÉ«¹â´©¹ý²£Á§×©ËùÓõÄʱ¼äΪt=
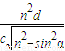
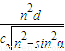
×ۺϵãºt=
´ð£º£¨1£©CD£»£¨2£©¸ÃÉ«¹â´©¹ý²£Á§×©ËùÓõÄʱ¼äΪ
£®
µãÆÀ£ºÐµ²¨ÔÚͬһ½éÖÊÖд«²¥Ê±ËÙ¶È¿ÉÓÃv=
=
Á½¸ö¹«Ê½Çó½â£®½éÖÊÖи÷ÖʵãµÄÆðÕñ·½ÏòÓ벨ԴµÄÆðÕñ·½ÏòÏàͬ£®¸ù¾ÝÕÛÉ䶨ÂÉn=
¡¢¹âËÙ¹«Ê½v=
ºÍ¼¸ºÎ֪ʶ½áºÏÑо¿¼¸ºÎ¹âѧ£®
£¨2£©¸ù¾ÝÕÛÉ䶨ÂÉÇó³öÕÛÉä½Ç£¬Óɼ¸ºÎ¹ØÏµÇó¹âÔÚ²£Á§ÖÐͨ¹ýµÄ·³Ìs£¬¹âÔÚ²£Á§ÖеÄËÙ¶ÈΪv=
½â´ð£º½â£º£¨1£©A¡¢C¸Ã²¨µÄ²¨ËÙΪv=
B¡¢²¨Ô´µÄÆðÕñ·½ÏòÓëͼʾʱ¿Ìx=3.5m´¦ÖʵãµÄÕñ¶¯·½ÏòÏàͬ£¬¼òгºá²¨ÑØxÖáÕý·½Ïò´«²¥£¬ÔòÖªx=3.5m´¦ÖʵãµÄÕñ¶¯·½ÏòÏòÏ£®¹ÊB´íÎó£®
D¡¢Í¼Ê¾Ê±¿Ìx=1.5m´¦µÄÖʵãÕý¾Æ½ºâλÖÃÏòÏÂÔ˶¯£¬ÔÙ¾¹ýt=1.2s=0.6T£¬x=1.5m´¦µÄÖʵãÕýÔÚÏòÉÏÔ˶¯£®¹ÊDÕýÈ·£®
¹ÊÑ¡CD
£¨2£©ÉèÕÛÉä½ÇΪr£®ÓÉÕÛÉ䶨Âɵã¬n=
Éè¹â͸¹ý²£Á§Ëù×ߵķ³ÌΪs£¬ËùÓÃʱ¼äΪt£¬Ôò
s=
¹âÔÚ²£Á§ÖÐËÙ¶ÈΪv=
Ôò¸ÃÉ«¹â´©¹ý²£Á§×©ËùÓõÄʱ¼äΪt=
×ۺϵãºt=
´ð£º£¨1£©CD£»£¨2£©¸ÃÉ«¹â´©¹ý²£Á§×©ËùÓõÄʱ¼äΪ
µãÆÀ£ºÐµ²¨ÔÚͬһ½éÖÊÖд«²¥Ê±ËÙ¶È¿ÉÓÃv=
Á·Ï°²áϵÁдð°¸
Ïà¹ØÌâÄ¿