题目内容

1990年3月,紫金山天文台将1965年9月20日发现的第2752号小行星命名为“吴健雄星”(吴健雄是美籍华裔实验物理学家).该小行星的直径为32km,密度与地球相同.若将此小行星和地球均看成质量分布均匀的球体,且已知地球半径R=6400km.地球的第一宇宙速度约为,求此小行星上的第一宙速度多大.

答案:20m/s
解析:

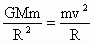
因为,所以

,所以


练习册系列答案
相关题目

违法和不良信息举报电话:027-86699610 举报邮箱:58377363@163.com

精英家教网