题目内容

宇航员到达某行星表面后,用长为L的细线拴一小球,让球在竖直面内做圆周运动.他测得当球通过最高点的速度为v0时,绳中张力刚好为零.设行星的半径为R、引力常量为G,求:

(1)该行星表面的重力加速度大小

(2)该行星的质量

(3)在该行星表面发射卫星所需要的最小速度

答案:
解析:

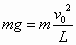
  解:(1)球在最高点,由牛顿第二定律:

  得

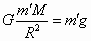
  (2)对行星表面的任一物体,由牛顿第二定律:

  得

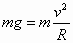
  (3)对卫星,由牛顿第二定律得:

  所以


练习册系列答案
相关题目

违法和不良信息举报电话:027-86699610 举报邮箱:58377363@163.com

精英家教网