题目内容
如图所示,水平面上有A、B两点,相距xAB=0.1m.在甲球从B点开始向右做匀速运动的同时,乙球从A点由静止向右做加速度a=5m/s2的匀加速运动.当乙球运动到B点时不再加速,以到B点时的速度匀速运动.已知乙球从开始运动,经t=ls刚好追上甲球,求:(1)乙球从A到B所用的时间;
(2)乙球到B时的速度;
(3)甲球的速度.
【答案】分析:(1)根据匀变速直线运动的位移时间公式求出乙球从A到B所用的时间.
(2)根据匀变速直线运动的速度时间公式求出乙球到B时的速度.
(3)设)乙球从B处追上甲球所用的时间为t,抓住位移关系求出甲球的速度.
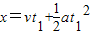
解答:解:(1)根据
代入数据解得:t1=0.2s.
(2)根据v=v+at代入数据得:v=1m/s.
3)乙球从B处追上甲球所用的时间为t.
t=t-t1=1-0.2s=0.8s
则:vt=vt
解得:v=0.8m/s.
答;(1)乙球从A到B所用的时间为0.2s.
(2)乙球到B时的速度为1m/s.
(3)甲球的速度为0.8m/s.
点评:解决本题的关键掌握匀变速直线运动的运动学公式,并能灵活运用.
(2)根据匀变速直线运动的速度时间公式求出乙球到B时的速度.
(3)设)乙球从B处追上甲球所用的时间为t,抓住位移关系求出甲球的速度.
解答:解:(1)根据
(2)根据v=v+at代入数据得:v=1m/s.
3)乙球从B处追上甲球所用的时间为t.
t=t-t1=1-0.2s=0.8s
则:vt=vt
解得:v=0.8m/s.
答;(1)乙球从A到B所用的时间为0.2s.
(2)乙球到B时的速度为1m/s.
(3)甲球的速度为0.8m/s.
点评:解决本题的关键掌握匀变速直线运动的运动学公式,并能灵活运用.
练习册系列答案
相关题目
| A、一起匀速直线运动 | B、一起加速运动 | C、B加速、A减速 | D、无法判断,因为A、B的质量关系及接触面间的摩擦情况未知 |