题目内容
如图所示,用长为l的绝缘细线悬挂一带电小球,小球质量为m.现加一水平向右、场强为E的匀强电场,平衡时小球静止于A点,细线与竖直方向成θ角.(1)求小球所带电荷量的大小;
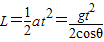
(2)若将细线剪断,小球将在时间t内由A点运动到电场中的P点(图中未画出),求A、P两点间的距离;
(3)求A、P两点间电势差的.
【答案】分析:(1)对小球进行受力分析,根据小球静止时受平衡力求解.
(2)剪断细线后,小球受电场力和重力,根据牛顿第二定律和运动学公式求解.
(3)根据公式U=Ed求解.
解答:解:(1)对小球进行受力分析,根据平衡条件得
则有Eq=mgtanθ

(2)剪断细线后,小球受电场力和重力,它们的合力为F合,加速度为a

F合=
所以
A、P两点间的距离
(3)A、P两点间电势差的大小

答:(1)小球所带电荷量的大小是
;
(2)小球将在A、P两点间的距离是
;
(3)A、P两点间电势差是
.
点评:本题是带电物体在电场中平衡问题,受力分析是基础,结合运动学公式求解.清楚公式U=Ed中d的意义.
(2)剪断细线后,小球受电场力和重力,根据牛顿第二定律和运动学公式求解.
(3)根据公式U=Ed求解.
解答:解:(1)对小球进行受力分析,根据平衡条件得
则有Eq=mgtanθ
(2)剪断细线后,小球受电场力和重力,它们的合力为F合,加速度为a
F合=
所以
A、P两点间的距离
(3)A、P两点间电势差的大小
答:(1)小球所带电荷量的大小是
(2)小球将在A、P两点间的距离是
(3)A、P两点间电势差是
点评:本题是带电物体在电场中平衡问题,受力分析是基础,结合运动学公式求解.清楚公式U=Ed中d的意义.
练习册系列答案
相关题目
A、若小球刚好能在竖直平面内做圆周运动,则在最高点的速率为
| ||
| B、小球在最高点时绳子的拉力不可能为零 | ||
| C、小球在圆周最高点时所受的向心力一定为重力 | ||
| D、小球过最低点时绳子的拉力一定小于小球重力 |