题目内容

一平板车,质量M=100kg,停在水平路面上,车身的平板离地面的高度h=1.25m,一质量m=50kg的物块置于车的平板上,它到车尾端的距离b=1.00m,与车板间的动摩擦因数μ=0.20。如图所示。今对平板车施一水平向右的恒力使车向前行驶,结果物块从车板上滑落。物块刚离开车板的时刻,车向前行驶的距离s0=2.0m,求物块落地时,落地点到车尾的水平距离s。不计路面与平板车间以及轮轴之间的摩擦,取g=10m/s2。?

 

【答案】

1.625m

【解析】

试题分析:设物体在车上滑动时的加速度为a1

则f=ma1,即a1=μg     (1分)

设车的加速度为a2,对于车,则F-μmg=Ma2 。   (1分)

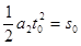
设从物块开始滑动到它离开车所用时间为t0

   (2分)

考点:考查了牛顿第二定律的综合应用

点评:该题涉及到相对运动的过程,要求同学们能根据受力情况正确分析运动情况,并能熟练运用运动学基本公式解题,难度较大.

 

练习册系列答案
相关题目

违法和不良信息举报电话:027-86699610 举报邮箱:58377363@163.com

精英家教网