题目内容

如图所示,一质点沿直线AB运动,先以速度v从A匀速运动到B,接着以速度2v沿原路返回至C,已知C为AB的中点,求整个过程的平均速度及平均速率.

答案:略
解析:

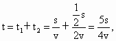
,

AB间距为s,则整个过程的位移为,整个过程的时间.平均速率为

该题考查对平均速度定义的理解和应用,不能把平均速度与平均速率相混淆。


练习册系列答案
相关题目

违法和不良信息举报电话:027-86699610 举报邮箱:58377363@163.com

精英家教网