题目内容
甲、乙两辆汽车沿平直公路从某地同时驶向同一目的地,甲车在前一半时间以速度v1行驶,后一半时间以速度v2行驶;乙车在前一半路程中以速度v1行驶,后一半路程以速度v2行驶,则甲、乙两车到达目的地的先后顺序是( )A.甲先
B.乙先
C.同时到达
D.无法比较
【答案】分析:要求哪辆车先到达,只需要分别求出两车所用的时间与位移、速度的关系式,然后作差即可.
解答:解:设甲乙两地之间的距离为x,甲运动的时间为t1,乙运动的时间为t2,
则对于甲来说有x=
v1+
v2
解得t1=
对于乙来说有t2=
=
.
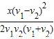
则t2-t1=
>0
故t2>t1
即甲车用的时间少,即甲车先到达.故A正确,B、C、D错误.
故选A.
点评:这类题目共同的特点是所给的物理量之间存在着某种关系:位移关系,时间关系,速度关系,只要耐心,用位移速度表示出各自运动的时间,然后将时间作差或作商即可.
解答:解:设甲乙两地之间的距离为x,甲运动的时间为t1,乙运动的时间为t2,
则对于甲来说有x=
解得t1=
对于乙来说有t2=
则t2-t1=
故t2>t1
即甲车用的时间少,即甲车先到达.故A正确,B、C、D错误.
故选A.
点评:这类题目共同的特点是所给的物理量之间存在着某种关系:位移关系,时间关系,速度关系,只要耐心,用位移速度表示出各自运动的时间,然后将时间作差或作商即可.
练习册系列答案
相关题目
| A、0-t时间内,甲的平均速度大于乙的平均速度 | B、0-2t时间内,甲的平均速度大于乙的平均速度 | C、t时刻两车再次相遇 | D、在t-2t时间的某时刻内,两车再次相遇 |