题目内容
学校有一台应急备用发电机,内阻为r=1Ω,升压变压器匝数比为1:4,降压变压器的匝数比为4:1,输电线的总电阻为R=4Ω,全校教室和办公室共33个,每个室用“220V,40W”的灯12盏,要求所有灯都正常发光,则:(1)发电机的输出功率多大?
(2)发电机的电动势多大?
(3)输电线上损耗的电功率多大?
【答案】分析:利用高压输电的目的是降低线路的功率损失,从而提高用户得到的功率.由教室获得的功率与正常发光的电压可求得线路上的损失电压.由理想变压器的变压比与变流比可求出发电机的电动势.
解答:解:(1)用电功率P3=nUI=40╳12╳33=15840W,
用电电路 I3=
=72A,
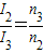
对降压变压器,由
得,输电电流I2=18A,
输电功率损失P线=I22R=1296W,
发电机输出功率P出=P3+P线=17136W;
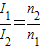
(2)对升压变压器,由
得I1=72A,
发电机消耗的内功率P内=I12r=5184W,
发电机总功率P=P出+P内=I1E=17136+5184=22320W,
发电机的电动势E=310V;
(3)导线损失的功率P线=I22R=1296W;
答:(1)发电机的输出功率为17136W,
(2)发电机的电动势为310V,
(3)输电线上损耗的电功率为1296W.
点评:理想变压器的输入功率与输出功率相等,且没有漏磁现象.远距离输电,由于导线通电发热导致能量损失,所以通过提高输送电压,从而实现降低电损.输电线上的损失功率与其电流的平方成正比,而与输电线两端的电压的平方成反比.
解答:解:(1)用电功率P3=nUI=40╳12╳33=15840W,
用电电路 I3=
对降压变压器,由
输电功率损失P线=I22R=1296W,
发电机输出功率P出=P3+P线=17136W;
(2)对升压变压器,由
发电机消耗的内功率P内=I12r=5184W,
发电机总功率P=P出+P内=I1E=17136+5184=22320W,
发电机的电动势E=310V;
(3)导线损失的功率P线=I22R=1296W;
答:(1)发电机的输出功率为17136W,
(2)发电机的电动势为310V,
(3)输电线上损耗的电功率为1296W.
点评:理想变压器的输入功率与输出功率相等,且没有漏磁现象.远距离输电,由于导线通电发热导致能量损失,所以通过提高输送电压,从而实现降低电损.输电线上的损失功率与其电流的平方成正比,而与输电线两端的电压的平方成反比.
练习册系列答案
相关题目