ÌâÄ¿ÄÚÈÝ
A£®Pb£¾Pc£¬Qab£¾Qac
B£®Pb£¾Pc£¬Qab£¼Qac
C£®Pb£¼Pc£¬Qab£¾Qac
D£®Pb£¼Pc£¬Qab£¼Qac
¡¾´ð°¸¡¿·ÖÎö£º¸ù¾ÝÀíÏëÆøÌå״̬·½³Ì£¬ÕûÀíºó¿ÉµÃV-TͼÏó£¬ÅжÏбÂʵÄÒâÒ壬µÃµ½Ñ¹Ç¿µÄ±ä»¯£¬ÔÙ¸ù¾ÝÈÈÁ¦Ñ§µÚÒ»¶¨ÂÉÅжÏ×ö¹¦ºÍÎüÈÈ£®
½â´ð£º½â£ºABÖС¢
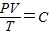
¸ù¾ÝÀíÏëÆøÌå״̬·½³Ì
£¬
ÕûÀí¿ÉµÃ£º
ËùÒÔбÂÊÔ½´ó£¬Ñ¹Ç¿Ô½Ð¡£¬¼´bµãµÄѹǿСÓÚcµã£¬¹ÊAB´íÎó£®
CDÖС¢ÓÉÈÈÁ¦Ñ§µÚÒ»¶¨ÂÉ¡÷U=W+Q
¾¹ý¹ý³Ìabµ½´ï״̬b»ò¾¹ý¹ý³Ìacµ½×´Ì¬c£¬b¡¢c״̬ζÈÏàͬ£¬ËùÒÔ¡÷UÏàµÈ£¬
ÓÖÒò¾¹ý¹ý³Ìabµ½´ï״̬b£¬Ìå»ýÔö´ó£¬¶ÔÍâ×ö¹¦£¬WΪ¸ºÖµ£¬
¶ø¾¹ý¹ý³Ìacµ½×´Ì¬c£¬Ìå»ý²»±ä£¬¶ÔÍâ²»×ö¹¦£¬WΪÁ㣬ËùÒÔµÚÒ»¸ö¹ý³ÌÎüÊÕµÄÈÈÁ¿¶à£¬¹ÊCÕýÈ·£¬D´íÎó£®
¹ÊÑ¡£ºC
µãÆÀ£º¸ù¾ÝÀíÏëÆøÌå״̬·½³Ì£¬½áºÏÈÈÁ¦Ñ§µÚÒ»¶¨ÂÉÅжϸ÷ÎïÀíÁ¿Ìå»ý¡¢Ñ¹Ç¿¡¢Î¶ȵı仯£®
½â´ð£º½â£ºABÖС¢
¸ù¾ÝÀíÏëÆøÌå״̬·½³Ì
ÕûÀí¿ÉµÃ£º
ËùÒÔбÂÊÔ½´ó£¬Ñ¹Ç¿Ô½Ð¡£¬¼´bµãµÄѹǿСÓÚcµã£¬¹ÊAB´íÎó£®
CDÖС¢ÓÉÈÈÁ¦Ñ§µÚÒ»¶¨ÂÉ¡÷U=W+Q
¾¹ý¹ý³Ìabµ½´ï״̬b»ò¾¹ý¹ý³Ìacµ½×´Ì¬c£¬b¡¢c״̬ζÈÏàͬ£¬ËùÒÔ¡÷UÏàµÈ£¬
ÓÖÒò¾¹ý¹ý³Ìabµ½´ï״̬b£¬Ìå»ýÔö´ó£¬¶ÔÍâ×ö¹¦£¬WΪ¸ºÖµ£¬
¶ø¾¹ý¹ý³Ìacµ½×´Ì¬c£¬Ìå»ý²»±ä£¬¶ÔÍâ²»×ö¹¦£¬WΪÁ㣬ËùÒÔµÚÒ»¸ö¹ý³ÌÎüÊÕµÄÈÈÁ¿¶à£¬¹ÊCÕýÈ·£¬D´íÎó£®
¹ÊÑ¡£ºC
µãÆÀ£º¸ù¾ÝÀíÏëÆøÌå״̬·½³Ì£¬½áºÏÈÈÁ¦Ñ§µÚÒ»¶¨ÂÉÅжϸ÷ÎïÀíÁ¿Ìå»ý¡¢Ñ¹Ç¿¡¢Î¶ȵı仯£®
Á·Ï°²áϵÁдð°¸
Ïà¹ØÌâÄ¿