题目内容
如图(a)所示,一导热性能良好、内壁光滑的气缸水平放置,横截面积为S=2×10-3m2、质量为m=4kg厚度不计的活塞与气缸底部之间封闭了一部分气体,此时活塞与气缸底部之间的距离为24cm,在活塞的右侧12cm处有一对与气缸固定连接的卡环,气体的温度为300K,大气压强(1)活塞与气缸底部之间的距离;
(2)加热到675K时封闭气体的压强.
【答案】分析:气缸水平放置时,封闭气体的压强等于大气压强,当气缸竖直放置时,封闭气体的压强等于大气压强加活塞重力产生的压强,由于两种情况下气体的温度保持不变,根据等温变化求出此时气体的体积,根据气体的体积可以求出活塞与气缸底部之间的距离;气缸竖直放置后,加温到675K时,如果活塞不能到达卡环,则气体压强仍为大气压强加活塞重力产生的压强,若活塞能到达卡环,则根据到达卡环后气体做等容变化,根据理想气体状态方程可以求出此时封闭气体的压强.
解答:解:由题意是
(1)气缸水平放置时,封闭气体的压强:
,温度:T1=300K,体积:V1=24cm×S
当气缸竖直放置时,封闭气体的压强:
,温度T2=T1=300K,体积:V2=HS.
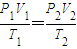
根据理想气体状态方程有:
代入数据可得H=20cm
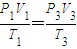
(2)假设活塞能到达卡环,由题意有:
T3=675K V3=36cm×S 根据理想气体状态方程有:

代入数据可得:
,故假设成立,活塞能达到卡环,气体压强为
答:(1)活塞与气缸底部之间的距离为20cm;
(2)加热到675K时封闭气体的压强1.5×105pa.
点评:正确使用气体状态方程,并根据题目给出的条件求出气体状态参量,根据状态方程求解即可.注意要判断第三种情况下气体是否可以到达卡环.
解答:解:由题意是
(1)气缸水平放置时,封闭气体的压强:
当气缸竖直放置时,封闭气体的压强:
根据理想气体状态方程有:
代入数据可得H=20cm
(2)假设活塞能到达卡环,由题意有:
T3=675K V3=36cm×S 根据理想气体状态方程有:
代入数据可得:
答:(1)活塞与气缸底部之间的距离为20cm;
(2)加热到675K时封闭气体的压强1.5×105pa.
点评:正确使用气体状态方程,并根据题目给出的条件求出气体状态参量,根据状态方程求解即可.注意要判断第三种情况下气体是否可以到达卡环.
练习册系列答案
相关题目