题目内容
现有两颗绕地球做匀速圆周运动的人造地球卫星A和B,它们的轨道半径分别为rA和rB.如果rA>rB.则( )A.卫星A的运动周期比卫星B的运动周期大
B.卫星A的线速度比卫星B的线速度大
C.卫星A的角速度比卫星B的角速度大
D.卫星A的加速度比卫星B的加速度大
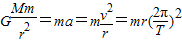
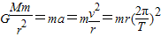
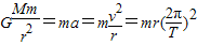
【答案】分析:万有引力提供向心力
=mrω2,可比较出周期、线速度、角速度、加速度.
解答:解:
=mrω2,知a=
,v=
,ω=
,T=
,知轨道半径越大,线速度越小,角速度越小,向心加速度越小,周期越大.故A正确,B、C、D错误.
故选A.
点评:解决本题的关键掌握万有引力提供向心力
=mrω2.
解答:解:
故选A.
点评:解决本题的关键掌握万有引力提供向心力
练习册系列答案
相关题目
现有两颗绕地球做匀速圆周运动的人造地球卫星A和B,它们的轨道半径分别为rA和rB.如果rA>rB,则( )
| A、卫星A的运动周期比卫星B的运动周期小 | B、卫星A的线速度比卫星B的线速度小 | C、卫星A的角速度比卫星B的角速度大 | D、卫星A的加速度比卫星B的加速度小 |