题目内容

1997年8月26日在日本举行的国际天文学大会上,德国Maxplanck学会的一个研究组宣布了他们的研究成果:银河系的中心可能存在一个大黑洞,他们的根据是用口径3.5m的天文望远镜对猎户座中位于银河系中心附近的星体进行近六年的观测所得到的数据.他们发现,距离银河系中心约60亿公里的星体正以2000km/s的速度围绕银河系中心旋转.根据上面的数据,试在经典力学的范围内(见提示(2)),通过计算确认,如果银河系确实存在黑洞的话,其最大半径是多少?(引力常数)

提示:(1)黑洞是一种物质,其表面的引力如此之强,以至于包括光在内的所有物质都逃脱不了其引力作用(2)计算中可以采用拉普拉斯经典黑洞模型,在这种模型中,在黑洞表面的所有物质,即使初速度等于光速c也逃脱不了其引力的作用.

答案:略
解析:

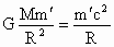
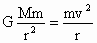
  绕黑洞旋转的星体所受黑洞的引力提供其向心力,则,所以(其中M为黑洞质量,r为轨道半径,大小为).若黑洞的半径为R,则由题意可知光子恰好可绕其表面运行;所以,即(其中c为光速,大小为).由①②两式可得,所以

  这类题目要耐心阅读,抓住有效信息,并将其转化为中学阶段所学的物理模型,利用中学物理知识加以解决.如本题中除绕黑洞转动的星体这一明显信息外,光子逃脱不了它的引力这一点,也给我们透露出另一信息:在黑洞的最大半径R处,以光速运动的光子受到黑洞的引力恰等于它需要的向心力.


练习册系列答案
相关题目

违法和不良信息举报电话:027-86699610 举报邮箱:58377363@163.com

精英家教网