ÌâÄ¿ÄÚÈÝ

£¨1£©£¨6·Ö£©ÈçͼËùʾ£¬ÓÐÒ»ÊøÆ½ÐÐÓڵȱßÈýÀâ¾µ½ØÃæABCµÄµ¥É«¹â´Ó¿ÕÆøÉäÏòEµã£¬²¢Æ«ÕÛµ½Fµã£¬ÒÑÖªÈëÉä·½ÏòÓë±ßABµÄ¼Ð½ÇΪ¦È£½30¡ã£¬E¡¢F·Ö±ðΪAB¡¢BCµÄÖе㣬Ôò(¡¡¡¡)

A£®¸ÃÀâ¾µµÄÕÛÉäÂÊΪ

B£®¹âÔÚFµã·¢ÉúÈ«·´Éä

C£®¹â´Ó¿ÕÆø½øÈëÀâ¾µ£¬²¨³¤±äС

D£®´ÓFµã³öÉäµÄ¹âÊøÓëÈëÉäµ½EµãµÄ¹âÊøÆ½ÐÐ

£¨2£©£¨6·Ö£©Ò»¸ùµ¯ÐÔÉþÑØxÖá·½Ïò·ÅÖã¬×ó¶ËÔÚÔ­µãO´¦£¬ÓÃÊÖÎÕסÉþµÄ×ó¶ËʹÆäÑØyÖá·½Ïò×öÖÜÆÚΪ1sµÄ¼òгÔ˶¯£¬ÓÚÊÇÔÚÉþÉÏÐγÉÒ»¼òгºá²¨£¬ÉþÉÏÖʵãNµÄƽºâλÖÃΪx£½5m£¬¾­Ä³Ò»Ê±¼äÕñ¶¯´«²¥µ½ÖʵãMʱµÄ²¨ÐÎÈçͼËùʾ£¬Çó£º

¢ÙÉþµÄ×ó¶ËÕñ¶¯¾­¶à³¤Ê±¼ä´«²¥µ½ÖʵãN£»

¢ÚÖʵãNµÚÒ»´Î³öÏÖÔÚ²¨·åʱ£¬ÉþµÄ×ó¶ËÒÑÕñ¶¯Ëùͨ¹ýµÄ·³Ì£®

 

¡¾´ð°¸¡¿

£¨1£©C£¨6·Ö£©  £¨2£©¢Ù (3·Ö)  ¢Ú£¨3·Ö£©

¡¾½âÎö¡¿

ÊÔÌâ·ÖÎö£º(1) Óɼ¸ºÎ֪ʶµÃ£º¹âÏßÔÚABÃæÉÏÈëÉä½ÇΪ£¬ÕÛÉä½ÇΪ£¬ÔòÕÛÉäÂÊΪ£¬¹ÊA´íÎó¡£¹âÏßÔÚFµãµÄÈëÉä½ÇÓëABÃæÉϵÄÕÛÉä½ÇÏàµÈ£¬¸ù¾Ý¹â·¿ÉÄæÐÔÔ­Àí£¬µÃÖª¹âÔÚFµã²»¿ÉÄÜ·¢ÉúÈ«·´É䣬¶øÇÒ´ÓFµã³öÉäµÄ¹âÊøÓëBCµÄ¼Ð½ÇΪ£¬ËùÒÔ´ÓFµã³öÉäµÄ¹âÊøÓëÈëÉäµ½EµãµÄ¹âÊø²»Æ½ÐУ¬¹ÊB¡¢D´íÎó£®¹â´Ó¿ÕÆø½øÈëÀâ¾µ£¬ÆµÂʲ»±ä£¬²¨ËÙ±äС£¬Óɹ«Ê½µÃÖª£¬²¨³¤±äС£¬¹ÊCÕýÈ·¡£¹ÊÑ¡C¡£

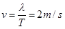
£¨2£©¢ÙÓÉͼ¿ÉÖª£¬²¨³¤¦Ë£½2m       £¨1·Ö£©

²¨ËÙ        £¨1·Ö£©

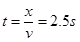
Õñ¶¯´«²¥µ½ÖʵãN¾­ÀúµÄʱ¼ä         £¨1·Ö

¢ÚÖʵãN¿ªÊ¼Õñ¶¯Ê±£¬ÉþµÄ×ó¶ËÕñ¶¯ÒÑͨ¹ýµÄ·³Ì£º  £¨1·Ö£©

N´ÓÆðÕñÖÁ³öÏÖµÚÒ»´Î³öÏÖÔÚ²¨·å´¦£¬¾­£º  £¨1·Ö£©

¹Ê:       (1·Ö)

¿¼µã£º±¾Ì⿼²éÁ˹âµÄÕÛÉ䶨ÂÉ¡¢È«·´É䣻Õñ¶¯Ó벨µÄ¹ØÏµ¡¢ºá²¨µÄͼÏó¡£

 

Á·Ï°²áϵÁдð°¸
Ïà¹ØÌâÄ¿

Î¥·¨ºÍ²»Á¼ÐÅÏ¢¾Ù±¨µç»°£º027-86699610 ¾Ù±¨ÓÊÏ䣺58377363@163.com

¾«Ó¢¼Ò½ÌÍø