题目内容

A、B两行星在同一平面内绕同一恒星做匀速圆周运动,运行方向相同,A的轨道半径为,B的轨道半径为.已知恒星质量为M,恒星对行星的引力远大于行星间的引力,两行星的轨道半径.若在某一时刻两行星相距最近,试求:

(1)再经过多少时间两行星距离又最近?

(2)再经过多少时间两行星距离最远?

答案:略
解析:

(1)

(2)

(1)AB两行星在如图所示位置时距离最近,这时AB与恒星在同一条圆半径上,AB运动方向相同,A更靠近恒星,A的转动角速度大、周期短,如果经过时间tAB与恒星连线半径转过的角度相差2π的整数倍,则AB与恒星又位于同一条圆半径上,距离最近.设AB的角速度分别为,经过时间tA转过的角度为B转过的角度为AB距离最近的条件是:

恒星对行星的万有引力提供向心力,则,即

由此得出

求得

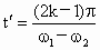
(2)如果经过时间AB转过的角度相差π的奇数倍时,则AB相距最远,即:

代入得:

大多数物理问题具有单一的确定解,然而有些物理问题的解并不惟一,而有多个解.甚至有无穷多个解.对于这类物理问题,倘若物理过程不清,便可能只得出特解,而导致漏解.一般说来,周期性过程的物理问题,通常具有多解的特征,分析多解问题的基本思路是:在分析物理过程的基础上,建立清晰的物理图景,根据物理图景列方程,求出物理量的通解表达式,本题中判定AB相距最近、最远的条件是解题的关键.

 


练习册系列答案
相关题目

违法和不良信息举报电话:027-86699610 举报邮箱:58377363@163.com

精英家教网