题目内容
某人爬山,从山脚爬上山顶,然后又从原路返回到山脚,上山的平均速率为v1,下山的平均速率为v2,则往返的平均速度的大小和平均速率是( )A.
B.
C.0,
D.0,
【答案】分析:注意平均速度和平均速率的区别,平均速度大小是位移与所用时间的比值,而平均速率为通过路程与所用时间比值,明确了这两个概念的区别便能正确解答本题.
解答:解:从山脚爬上山顶,然后又从原路返回到山脚时,通过位移为零,因此平均速度为零;设从山脚爬上山顶路程为s,则有:
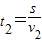
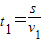
上山时间:
,下山时间:
因此往返平均速率为:
,故ABC错误,D正确.
故选D.
点评:对于运动学中的概念要明确其定义,注意各个概念的区别和联系,对于刚开始学习高中物理的同学来说尤其注意理解位移的概念.
解答:解:从山脚爬上山顶,然后又从原路返回到山脚时,通过位移为零,因此平均速度为零;设从山脚爬上山顶路程为s,则有:
上山时间:
因此往返平均速率为:
故选D.
点评:对于运动学中的概念要明确其定义,注意各个概念的区别和联系,对于刚开始学习高中物理的同学来说尤其注意理解位移的概念.
练习册系列答案
相关题目
某人爬山,从山脚爬上山顶,然后又从原路返回到山脚,上山的平均速度为v1,下山的平均速度为v2,则往返的平均速度的大小是( )
A、
| ||
B、
| ||
C、
| ||
| D、0 |