题目内容
平行金属板A、B相距为d,如图(a)所示,板间加有随时间而变化的电压,如图(b)所示.设U和T已知.A板上O处有一静止的带电粒子,其电量为q,质量为m(不计重力).在t=0时刻受板间电场加速向B板运动,途中由于电场反向又向A板返回,(1)为使t=T时粒子恰好回到O点,求
(2)为使粒子在由A向B运动中不致碰到B板,求Ux的取值范围.
【答案】分析:(1)带电粒子在0到时间
内向右做匀加速直线运动,求出位移和速度,后
时间内做匀减速直线运动,当t=T 时粒子恰好回到O点,求出匀减速运动的位移,根据位移之和为0,即可求解;
(2)为使粒子在由A向B运动中不致碰到B板,则粒子到达B板速度等于0,Ux取最小值,根据匀减速运动速度时间公式即可求解.
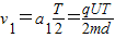
解答:解:(1)带电粒子在0到时间
内向右做匀加速直线运动
位移x1=
①
②
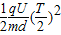
后
时间内做匀减速直线运动,当t=T 时粒子恰好回到O点
位移为:x2=
总位移为零,则有:
x2=-x1④
由①②③④解得:U:UX=1:3.
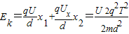
对整个过程运用动能定理得:
.
(2)为使粒子在由A向B运动中不致碰到B板,则粒子到达B板速度等于0.Ux取最小值,
则有:
解得
.
答:(1)
的比值为1:3;粒子返回O点时的动能是
;
(2)Ux的取值范围为
.
点评:本题主要考查了带电粒子在电场中的运动问题,要求同学们能根据粒子的受力情况分析运动情况,抓住速度和位移之间的关系求解,难度适中.
(2)为使粒子在由A向B运动中不致碰到B板,则粒子到达B板速度等于0,Ux取最小值,根据匀减速运动速度时间公式即可求解.
解答:解:(1)带电粒子在0到时间
位移x1=
后
位移为:x2=
总位移为零,则有:
x2=-x1④
由①②③④解得:U:UX=1:3.
对整个过程运用动能定理得:
(2)为使粒子在由A向B运动中不致碰到B板,则粒子到达B板速度等于0.Ux取最小值,
则有:
解得
答:(1)
(2)Ux的取值范围为
点评:本题主要考查了带电粒子在电场中的运动问题,要求同学们能根据粒子的受力情况分析运动情况,抓住速度和位移之间的关系求解,难度适中.
练习册系列答案
相关题目