ÌâÄ¿ÄÚÈÝ

£¨12·Ö£©Èçͼ¼×Ëùʾ£¬ÔÚһˮƽ·ÅÖõĸô°åMNµÄÉÏ·½£¬´æÔÚÒ»´Å¸ÐӦǿ¶È´óСΪBµÄÔÈÇ¿´Å³¡£¬´Å³¡·½ÏòÈçͼËùʾ¡£OΪ¸ô°åÉϵÄÒ»¸öС¿×£¬Í¨¹ýOµã¿ÉÒÔ´Ó²»Í¬·½ÏòÏò´Å³¡ÇøÓò·¢ÉäµçÁ¿Îª+q£¬ÖÊÁ¿Îªm£¬ËÙÂÊΪµÄÁ£×Ó£¬ÇÒËùÓÐÈëÉäµÄÁ£×Ó¶¼ÔÚ´¹Ö±Óڴų¡µÄÍ¬Ò»Æ½ÃæÄÚÔ˶¯¡£²»¼ÆÖØÁ¦¼°Á£×Ó¼äµÄÏ໥×÷Óá£

£¨1£©ÈçͼÒÒËùʾ£¬Óë¸ô°å³É450½ÇµÄÁ£×Ó£¬¾­¹ý¶àÉÙʱ¼äºóÔٴδòµ½¸ô°åÉÏ£¿´ËÁ£×Ó´òµ½¸ô°åµÄλÖÃÓëС¿×µÄ¾àÀëΪ¶àÉÙ£¿Çë»­³ö¹ì¼£Í¼£¬²¢Çó½â¡£
£¨2£©ËùÓдÓOµãÉäÈëµÄ´øµçÁ£×ÓÔڴų¡ÖпÉÄܾ­¹ýÇøÓòµÄÃæ»ýΪ¶àÉÙ£¿Çë»­³öͼʾ£¬²¢Çó½â¡£

£¨1£©£¨2£©

½âÎöÊÔÌâ·ÖÎö£ºÓë¸ô°å³É450½ÇµÄÁ£×Ó½øÈë´Å³¡ºóµÄ¹ì¼£ÈçͼËùʾ£¬

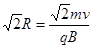
ÉèÁ£×ÓÔڴų¡ÖеÄÔ˶¯°ë¾¶ÎªR£¬ÔòÓÐ:             ¢Ù    
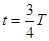
Á£×ÓÔڴų¡ÖÐÔ˶¯µÄÖÜÆÚ:    ¢Ú
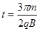
ÓÉÓÚÁ£×ÓÔڴų¡ÖÐÔ˶¯¹ì¼£Ëù¶ÔÓ¦µÄÔ²ÐĽÇΪ2700£¬ÔòÁ£×ÓÔڴų¡ÖÐÔ˶¯µÄʱ¼äΪ:   ¢Û
Óɢ٢ڢ۵à¢Ü     µ½´ï¸ô°åµÄλÖÃÓëС¿×0µÄ¾àÀëΪ:L=¢Ý
£¨2£©ËùÓÐͨ¹ýOµãÉäÈëµÄ´øµçÁ£×Ó¿ÉÄܾ­¹ýµÄÇøÓòÈçͼËùʾ£¬

ÓÉÍ¼ÖªÃæ»ýΪ£º  ¢Þ    ´úÈëµÃ£º   ¢ß
¿¼µã£º±¾Ì⿼²é´øµçÁ£×ÓÔÚÓнç´Å³¡ÖÐµÄÆ«×ª£¬
µãÆÀ£º¸ù¾ÝÂåÂ××ÈÁ¦ÌṩÏòÐÄÁ¦ºÍÔ²ÖÜÔ˶¯µÄÖÜÆÚ¹«Ê½ÇóµÃÔ˶¯Ê±¼ä£¬¸ù¾Ý°ë¾¶ÓëRµÄ¹ØÏµÇó³ö°ë¾¶£¬·ÖÎöËùÓÐÁ£×Ó¿ÉÄܵÄÔ˶¯¹ì¼££¬»­³ö¹ì¼£Í¼£¬¸ù¾Ý¼¸ºÎ¹ØÏµ½øÐÐÇó½â

Á·Ï°²áϵÁдð°¸
Ïà¹ØÌâÄ¿

Î¥·¨ºÍ²»Á¼ÐÅÏ¢¾Ù±¨µç»°£º027-86699610 ¾Ù±¨ÓÊÏ䣺58377363@163.com

¾«Ó¢¼Ò½ÌÍø