题目内容

驾驶手册规定具有良好刹车性能的汽车以20 m/s的速率行驶时,可以在48 m的距离内刹住;若以10 m/s的速率行驶时,可以在16 m的距离内刹住.假设对这两种速率,驾驶员的反应时间相同(在反应时间内驾驶员来不及使用刹车,车速不变),刹车产生的加速度也相同,则驾驶员的反应时间约为多少?

答案:
解析:

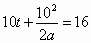
  设反应时间为t,则有

   4分

   4分

  由上两式,可解得t=0.8 s 2分


练习册系列答案
相关题目

违法和不良信息举报电话:027-86699610 举报邮箱:58377363@163.com

精英家教网