题目内容
在“利用落体法验证机械能守恒定律”的实验中,由于运动的初始阶段计时器打出的一些点模糊不清,故必须选择比较清楚的点作为测量起点,今所选的测量范围内的第一个点在米尺上的位置为
,第四个点在米尺上的位置为
,第七个点在米尺上的位置为
,第十个点在米尺上的位置为
.若下落物体的质量为m,打点计时器使用的交流,电频率为50Hz,读得
,
,
,
,
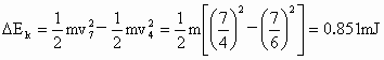
,则利用上述数据求出重物从打第四点到打第七点这一过程中重力势能的减少量是_______J,动能的增加量为_______J.
答案:0.853m,0.851m
解析:
解析:
|
|
练习册系列答案
相关题目
| |||||||||||