题目内容

在“利用落体法验证机械能守恒定律”的实验中,由于运动的初始阶段计时器打出的一些点模糊不清,故必须选择比较清楚的点作为测量起点,今所选的测量范围内的第一个点在米尺上的位置为,第四个点在米尺上的位置为,第七个点在米尺上的位置为,第十个点在米尺上的位置为.若下落物体的质量为m,打点计时器使用的交流,电频率为50Hz,读得,则利用上述数据求出重物从打第四点到打第七点这一过程中重力势能的减少量是_______J,动能的增加量为_______J.

答案:0.853m,0.851m
解析:

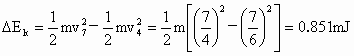
,打第四点时物体的瞬时速度

.打第七点时的瞬时速度.物体从打第四点到打第七点这一段过程中,重力势能减少量

.动能增加量为


练习册系列答案
相关题目

(1)在用落体法验证机械能守恒定律的实验中,某同学列举了该实验的几个步骤,其中不正确或没有必要的是________(填序号即可)

A.正确安装好实验仪器

B.将打点计时器接到学生电源直流输出端上

C.用天平测出下落重物的质量,且精确到0.01 kg

D.为了使打出来的第一个点清晰,应该先释放纸带再接通打点计时器电源开关   

E.为了防止重物掉到地上,需要在其落地以前用手接住

F.在纸带上离起始点较远的地方选择几个连续的点,测出它们距起始点的距离

(2)某个小组的三位同学按照正确的操作选得纸带如图.其中O是起始点,ABC是打点计时器连续打下的3个点.该同学用毫米刻度尺测量OABC各点的距离,用重锤在OB段的运动来验证机械能守恒,已知当地的重力加速度g=9.80 m/s2,打点计时器所用电源频率为f=50 Hz,设重锤质量为1.00 kg.

①甲同学发现,图中的B是除起始点外打点计时器打下的第n个点.因此他用vBngT(T是打点计时器的打点周期)计算B点对应时刻物体的速度,这样得到的结果是重力势能的减少量________动能的增加量(填“大于”、“小于”,或“等于”).

②乙同学认为,可以利用O点到B点的距离hB计算B点对应时刻物体的速度vB=.这样得到的结果是重力势能的减少量________动能的增加量(填“大于”、“小于”或“等于”).

③丙同学用AC段的平均速度作为跟B点对应的物体瞬时速度,若hA=9.51 cm,hB=12.42 cm,hC=15.70 cm,则丙同学算得该段重锤重力势能的减少量为________J(计算结果保留三位有效数字,下同),而动能的增加量为________J,这样得到的结果是重力势能的减少量________动能的增加量(填“大于”、“小于”或“等于”).

④若你是指导老师,你认为三个同学的数据处理方法中合理的是________.(选填“甲”“乙”“丙”此空为不定项选择)

 

在用落体法验证机械能守恒定律时, 某同学按照正确的操作选得纸带如图。其中O是起始点,A、B、C是打点计时器连续打下的3个点.该同学用毫米刻度尺测量O到A、B、C各点的距离,并记录在图中(单位cm)。

①这三个数据中不符合有效数字读数要求的是_       ,应记作__   ____cm。

②甲同学用重锤在OB段的运动来验证机械能守恒,已知当地的重力加速度g=9.80m/s2,他用AC段的平均速度作为跟B点对应的物体的即时速度,则该段重锤重力势能的减少量为_______,而动能的增加量为________,(均保留3位有效数字,重锤质量用m表示).这样验证的系统误差总是使重力势能的减少量_______动能的增加量(填“大于”、“小于”或“等于”),原因是      

          ______________________________。

③乙同学根据同一条纸带,同一组数据,也用重锤在OB段的运动来验证机械能守恒,将打点计时器打下的第一个点O记为第1个点,图中的B是打点计时器打下的第9个点.因此他用vB=gt计算跟B点对应的物体的即时速度,得到动能的增加量为________,这样验证时的系统误差总是使重力势能的减少量_______动能的增加量(填“大于”、“小于”或“等于”),原因是________   。                 

④丙同学根据同一条纸带上测量出的数据,算出AB之间的距离以及BC之间的

距离, 利用公式算出纸带下落时的重力加速度,并用这个加速度当作当地的重力加速度计算出重力势能的减小量;同时用AC段的平均速度作为B点对应的物体的即时速度从而算出动能的增加量,这样验证时的系统误差总是使重力势能的减少量_______动能的增加量。(填“大于”、“小于”或“等于”),原因是________     

            。

违法和不良信息举报电话:027-86699610 举报邮箱:58377363@163.com

精英家教网