题目内容
一个同学在《研究平抛物体的运动》实验中,只画出了如下图所示的一部分曲线,于是他在曲线上取水平距离△s相等的三点A、B、C,量得△s=0.2m.又量出他们之间的竖直距离分别为h1=0.1m,h2=0.2m,g取10m/s2,利用这些数据,可求得:(1)物体从A到B所用的时间T=______s
(2)物体抛出时的初速度为______m/s
(3)物体经过B点时速度为______m/s
(4)物体抛出点到A点的水平距离为______m.
【答案】分析:(1)根据竖直方向运动特点△h=gt2,求出物体运动时间;
(2)然后利用水平方向小球匀速运动的特点,根据x=vt即可求出物体的初速度;
(3)匀变速直线运动某段时间内的平均速度等于中间时刻的瞬时速度,即AC在竖直方向上的平均速度等于B点的竖直分速度,然后根据运动的合成可以求出物体经过B点时的速度大小;
(4)根据B点竖直方向的速度大小,求出从抛出到B点的时间,从而求出从抛出到A点的时间,然后求出物体抛出点到A点的水平距离.
解答:解:(1)在竖直方向上根据△h=gT2,有:
故答案为:0.1s.
(2)根据水平方向的匀速运动特点可有:x=vt,将T=0.1s代入得:v=2m/s.
故答案为:2m/s.
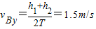
(3)根据匀变速直线运动某段时间内的平均速度等于中间时刻的瞬时速度,所以经过B点时的竖直分速度为:

所以经过B点的速度为:

故答案为:2.5m/s.
(4)根据vy=gt可知,从开始到B点时间为:

因此从开始到A点是时间为:△t=t-T=0.05s
因此物体抛出点到A点的水平距离为:x=v△t=0.1m.
故答案为:0.1m.
点评:解决本题的关键掌握平抛运动的处理方法,以及匀变速直线运动的两个推论:1、在连续相等时间内的位移之差是一恒量.2、某段时间内的平均速度等于中间时刻的瞬时速度.
(2)然后利用水平方向小球匀速运动的特点,根据x=vt即可求出物体的初速度;
(3)匀变速直线运动某段时间内的平均速度等于中间时刻的瞬时速度,即AC在竖直方向上的平均速度等于B点的竖直分速度,然后根据运动的合成可以求出物体经过B点时的速度大小;
(4)根据B点竖直方向的速度大小,求出从抛出到B点的时间,从而求出从抛出到A点的时间,然后求出物体抛出点到A点的水平距离.
解答:解:(1)在竖直方向上根据△h=gT2,有:
故答案为:0.1s.
(2)根据水平方向的匀速运动特点可有:x=vt,将T=0.1s代入得:v=2m/s.
故答案为:2m/s.
(3)根据匀变速直线运动某段时间内的平均速度等于中间时刻的瞬时速度,所以经过B点时的竖直分速度为:
所以经过B点的速度为:
故答案为:2.5m/s.
(4)根据vy=gt可知,从开始到B点时间为:
因此从开始到A点是时间为:△t=t-T=0.05s
因此物体抛出点到A点的水平距离为:x=v△t=0.1m.
故答案为:0.1m.
点评:解决本题的关键掌握平抛运动的处理方法,以及匀变速直线运动的两个推论:1、在连续相等时间内的位移之差是一恒量.2、某段时间内的平均速度等于中间时刻的瞬时速度.
练习册系列答案
相关题目