题目内容

如图所示,单匝矩形闭合导线框全部处于磁感应强度为的水平匀强磁场中,线框面积为,电阻为。线框绕与边重合的竖直固定转轴以角速度从中性面开始匀速转动,下列说法正确的是

A.转过时,线框中的电流方向为

B.线框中感应电流的有效值为

C.从中性面开始转过的过程中,通过导线横截面的电荷量为

D.线框转一周的过程中,产生的热量为

 

【答案】

BC

【解析】

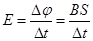
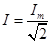
试题分析:根据楞次定律,转过时,线框中的电流方向为adcba; 线框中感应电流的最大值为,而,所以有效值为;从中性面开始转过的过程中,线圈中产生的平均电动势,通过导线横截面的电荷量为;线框转一周的过程中,产生的热量为.选项BC正确。

考点:交流电的有效值及最大值;焦耳定律。

 

练习册系列答案
相关题目

违法和不良信息举报电话:027-86699610 举报邮箱:58377363@163.com

精英家教网