ÌâÄ¿ÄÚÈÝ

ÈçͼËùʾ£¬ÔÚ¹â»¬Ë®Æ½ÃæÉÏÓÐÁ½¸öÖÊÁ¿·Ö±ðΪm1¡¢m2µÄÎïÌ壬ÒÑÖªm1£¾m2£¬Á½ÎïÌå¼äˮƽÁ¬½Ó×ÅÒ»ÇáÖʵ¯»É³Ó£¬ÈôÓôóСΪFµÄˮƽÁ¦ÏòÓÒÀ­m1£¬Îȶ¨ºóµÄ¼ÓËÙ¶È´óСΪa1£¬µ¯»É³ÓµÄʾÊýΪF1£»Èô¸ÄÓôóСΪFµÄˮƽÀ­Á¦Ïò×óÀ­m2£¬Îȶ¨ºóµÄ¼ÓËÙ¶È´óСΪa2£¬µ¯»É³ÓµÄʾÊýΪF2£¬ÔòÒÔÏÂÅжÏÕýÈ·µÄÊÇ£¨ £©
A£®a1=a2    F1£¾F2
B£®a1=a2 F1£¼F2
C£®a1£¼a2 F1=F2
D£®a1£¾a2 F1£¾F2
¡¾´ð°¸¡¿·ÖÎö£ºÏȶÔÕûÌå·ÖÎö£¬ÔËÓÃÅ£¶ÙµÚ¶þ¶¨ÂÉÇó³ö¼ÓËÙ¶È£¬ÔÙ¸ôÀë·ÖÎö£¬ÔËÓÃÅ£¶ÙµÚ¶þ¶¨ÂÉÇó³öµ¯»É³ÓµÄÀ­Á¦£®
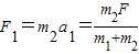
½â´ð£º½â£ºµ±À­Á¦ÏòÓÒÀ­m1ʱ£¬¶ÔÕûÌå·ÖÎö£¬¼ÓËÙ¶È£¬¸ôÀë¶Ôm2·ÖÎö£¬ÓУ®
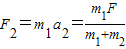
µ±À­Á¦Ïò×óÀ­m2ʱ£¬¶ÔÕûÌå·ÖÎö£¬¼ÓËÙ¶È£¬¸ôÀë¶Ôm1·ÖÎö£¬ÓУ®ËùÒÔa1=a2£¬ÒòΪm1£¾m2£¬ËùÒÔF2£¾F1£®¹ÊBÕýÈ·£¬A¡¢C¡¢D´íÎó£®
¹ÊÑ¡B£®
µãÆÀ£º±¾Ìâ×ÛºÏÔËÓÃÁËÕûÌå·¨ºÍ¸ôÀë·¨£¬¹Ø¼üÊÇÊÜÁ¦·ÖÎö£¬È»ºóÔËÓÃÅ£¶ÙµÚ¶þ¶¨ÂɽøÐÐÇó½â£®
Á·Ï°²áϵÁдð°¸
Ïà¹ØÌâÄ¿

Î¥·¨ºÍ²»Á¼ÐÅÏ¢¾Ù±¨µç»°£º027-86699610 ¾Ù±¨ÓÊÏ䣺58377363@163.com

¾«Ó¢¼Ò½ÌÍø