题目内容
如图所示,“嫦娥一号”飞船在飞往月球的过程中,经过多次变轨,先后在低空A轨道和高空B轨道绕地球做圆周运动,不考虑月球对它的作用力,关于线速度大小的判断正确的是
![]()
A.vA<vB B.vA=vB
C.vA>vB D.条件不足,无法判断
【答案】
C
【解析】
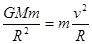
试题分析:设飞船的质量为m,月球的质量为M,所以在飞船绕月时,
,故线速度的大小v2=
,可见,半径R越大,线速度v就越小,故C是正确的。
考点:圆周运动。
练习册系列答案
相关题目
| A、卫星在轨道Ⅰ上运动周期大于在轨道Ⅱ上运动的周期 | B、卫星由轨道Ⅰ进入轨道Ⅱ必须要在P点加速 | C、卫星在轨道Ⅰ上运动时,P点的速度小于Q点的速度 | D、卫星在轨道Ⅰ上运动时,P点的加速度小于Q点的加速度 |