题目内容
如图所示,水平放置的两块平行金属板长L=5 cm,两板间距d=1 cm,两板间电压U=91 V不变,上板带正电.距离极板右端s=10 cm处有一接收屏,各种速度的电子沿水平方向从两板中央射入.电子的质量m=0.91×10-30 kg,电荷量e=1.6×10-19 C.求:
(1)到达接收屏上的电子的初速度应满足的条件;
(2)电子打到接收屏上距中心O的最大距离;
(3)电子从射入板间开始至到达接收屏所用的最长时间.
答案:
解析:
解析:
|
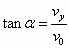
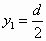
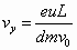
解:(1)电子恰好从板间射出的初速度为v0, L=v0t② 得: v0=2×107 m/s④ 故电子入射速度v≥2×107 m/s方能打到屏上.⑤ (2)要想离O最远,需要竖直速度最大,即在电场中加速时间最长,即水平速度最小,且竖直位移最大的电子打到屏上的距离最大.即恰能从极板边缘射出的电子打到屏上距O点最远. 离开电场时偏转量为 离开电场时的速度偏向角为 由几何关系 得: (3)粒子沿极板方向匀速运动,最长时间为tm L+s=v0tm(10) tm=7.5×10-9 s(11) 评分标准:(10)式2分,其余每式1分 |
练习册系列答案
相关题目
| A、小煤块先作匀加速直线运动,后作匀速直线运动 | B、小煤块一直作匀加速直线运动 | C、全过程中,小煤块先受到向右的滑动摩擦力,后不受摩擦力作用 | D、全过程中,小煤块先受到向右的滑动摩擦力,后受到向右的静摩擦力作用 |