题目内容
如图所示为研究匀变速直线运动的实验中所选用的一段打点纸带,若以每打5次点的时间作为单位,得到图示的5个记数点(图中用黑点表示,分别标1、2、3、4、5).今量得2、3、4、5各记数点到记数点1的距离分别为4.0cm、10.0cm、18.0cm、28.0cm,则打记数点2时,小车的速度是 m/s,由上述数据可算出该小车运动的加速度为 m/s2.(结果保留1位有效数字)
【答案】分析:作匀变速直线运动的物体在某一段时间内的平均速度等于该段时间内的中间时刻的速度;
作匀变速直线运动的物体在连续相等的时间内通过的位移差等于恒量即△x=aT2.
解答:解:由于作匀变速直线运动的物体在某一段时间内的平均速度等于该段时间内的中间时刻的速度,
故v2=
=0.5m/s
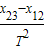
由于作匀变速直线运动的物体在连续相等的时间内通过的位移差等于恒量即△x=aT2,
解得物体的加速度a=
=2m/s2.
故答案为:0.5,2.
点评:解决该题关键要掌握匀变速运动的规律,注意运算过程中单位的换算和有效数字的保留.
作匀变速直线运动的物体在连续相等的时间内通过的位移差等于恒量即△x=aT2.
解答:解:由于作匀变速直线运动的物体在某一段时间内的平均速度等于该段时间内的中间时刻的速度,
故v2=
由于作匀变速直线运动的物体在连续相等的时间内通过的位移差等于恒量即△x=aT2,
解得物体的加速度a=
故答案为:0.5,2.
点评:解决该题关键要掌握匀变速运动的规律,注意运算过程中单位的换算和有效数字的保留.
练习册系列答案
相关题目