ÌâÄ¿ÄÚÈÝ

2010Äê10ÔÂ1ÈÕ18ʱ59·Ö£¬´îÔØ×ÅæÏ¶ð¶þºÅÎÀÐǵij¤Õ÷ÈýºÅ±ûÔËÔØ»ð¼ýÔÚÎ÷²ýÎÀÐÇ·¢ÉäÖÐÐijɹ¦·¢É䣬Öйú̽Ô¹¤³Ì¶þÆÚ½Ò¿ªÐòÄ»£®ÑØ×ű¼Ô¡°¿ìËÙ·¡±£¬æÏ¶ð¶þºÅ²»ÔÙÏñÒ»ºÅÄÇÑùÔÚ»·ÈƵØÇòµÄÍÖÔ²¹ìµÀÉÏ¡°¶ºÁô¡±ÊýÌ죬¶øÊÇÖ±½Ó´ÓµØÔÂ×ªÒÆ¹ìµÀ·ÉÏòÔÂÇò£¬Ö±½Ó±¼ÔÂÖ»ÐèÒª7Ì죮³ý´ËÖ®Í⣬Õâ¿ÅÎÀÐÇ»·Ô·ÉÐеĸ߶ÈÓÉæÏ¶ðÒ»ºÅµÄ200¹«Àï±äΪ100¹«À¾àÔÂÇò¸ü½ü£®¼ÙÉèÁ½¿ÅÎÀÐǵĻ·ÔÂ̽²â¹ìµÀ¾ùΪԲÖÜ£¬ÔòÔÚ¸÷×Ô»·ÔÂ̽²â¹ìµÀÉÏ£¬£¨ £©
A£®æÏ¶ð¶þºÅµÄÔËÐÐÏßËÙ¶È±ÈæÏ¶ðÒ»ºÅµÄС
B£®æÏ¶ð¶þºÅµÄÔËÐÐÖÜÆÚ±ÈæÏ¶ðÒ»ºÅµÄС
C£®æÏ¶ð¶þºÅµÄÔËÐмÓËÙ¶È±ÈæÏ¶ðÒ»ºÅµÄ´ó
D£®ÎÀÐÇ´¦ÓÚÊ§ÖØ×´Ì¬
¡¾´ð°¸¡¿·ÖÎö£ºæÏ¶ð¶þºÅºÍæÏ¶ðÒ»ºÅÈÆÔÂÇò×öÔ²ÖÜÔ˶¯£¬¿¿ÍòÓÐÒýÁ¦ÌṩÏòÐÄÁ¦£¬¸ù¾ÝÍòÓÐÒýÁ¦¶¨ÂɺÍÅ£¶ÙµÚ¶þ¶¨ÂÉÅжÏÏßËÙ¶È¡¢ÖÜÆÚ¡¢¼ÓËٶȵĴóС£®ÎÀÐÇ×öÔ²ÖÜÔ˶¯Ê±£¬´¦ÓÚÍêÈ«Ê§ÖØ×´Ì¬£®
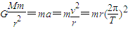
½â´ð£º½â£ºA¡¢¸ù¾Ý£¬µÃa=£¬v=£¬T=£®¹ìµÀ°ë¾¶Ô½´ó£¬ÏßËÙ¶È¡¢¼ÓËÙ¶ÈԽС£¬ÖÜÆÚÔ½´ó£¬ËùÒÔæÏ¶ð¶þºÅµÄÏßËÙ¶È¡¢¼ÓËÙ¶È´ó£¬ÖÜÆÚС£®¹ÊA´íÎó£¬B¡¢CÕýÈ·£®
D¡¢ÎÀÐÇÈÆÔÂÇò×öÔÈËÙÔ²ÖÜÔ˶¯£¬´¦ÓÚÍêÈ«Ê§ÖØ×´Ì¬£®¹ÊDÕýÈ·£®
¹ÊÑ¡BCD£®
µãÆÀ£º½â¾ö±¾ÌâµÄ¹Ø¼üÕÆÎÕÏßËÙ¶È¡¢ÖÜÆÚ¡¢¼ÓËÙ¶ÈÓë¹ìµÀ°ë¾¶µÄ¹ØÏµ£¬ÒÔ¼°ÖªµÀÎÀÐÇÈÆÖÐÐÄÌìÌå×öÔ²ÖÜÔ˶¯£¬´¦ÓÚÍêÈ«Ê§ÖØ×´Ì¬£®
Á·Ï°²áϵÁдð°¸
Ïà¹ØÌâÄ¿
¾«Ó¢¼Ò½ÌÍø¡°æÏ¶ð¶þºÅ¡±Ì½ÔÂÎÀÐÇÓÚ2010Äê10ÔÂ1ÈÕ18ʱ59·ÖÔÚÎ÷²ýÎÀÐÇÖÐÐÄ·¢ÉäÉý¿Õ£¬ÑصØÔÂ×ªÒÆ¹ìµÀÖ±±¼ÔÂÇò£¬6ÈÕÔÚ¾àÔÂÇò±íÃæ100kmµÄ½üÔµãP´¦£¬µÚÒ»´Î¡°É²³µÖƶ¯¡±ºó±»ÔÂÇò²¶»ñ£¬½øÈëÍÖÔ²¹ìµÀIÈÆÔ·ÉÐУ®Õâ´Î¼õËÙÖ»ÓÐÒ»´Î»ú»á£¬Èç¹û¡°É²³µ¡±Á¦¶È²»¹»£¬ÎÀÐÇ»á·É³öÔÂÇòµÄÒýÁ¦·¶Î§£¬²»±»ÔÂÇò²¶»ñ£¬´Ó¶ø²»ÄÜ»·ÈÆÔÂÇòÔ˶¯£®Èç¹ûɲ³µÁ¦¶È¹ý´ó£¬ÎÀÐǾͿÉÄÜײÉÏÔÂÇò£¬Æäºó¹ûͬÑù²»¿°ÉèÏ룮֮ºóÎÀÐÇÔÚPµãÓÖ¾­¹ýÁ½´Î¡°É²³µÖƶ¯¡±£¬×îºóÔÚ¾àÔÂÇò±íÃæ100kmµÄÔ²ÐιìµÀ¢óÉÏÈÆÔÂÇò×öÔÈËÙÔ²ÖÜÔ˶¯£¬ÆäÕû¸ö¹ý³ÌµÄÔ˶¯¹ì¼£ÈçͼËùʾ£®ÏÂÁÐ˵·¨ÖÐÕýÈ·µÄÊÇ£¨¡¡¡¡£©

Î¥·¨ºÍ²»Á¼ÐÅÏ¢¾Ù±¨µç»°£º027-86699610 ¾Ù±¨ÓÊÏ䣺58377363@163.com

¾«Ó¢¼Ò½ÌÍø