题目内容
如图(甲)所示,一对足够长平行光滑轨道放置在水平面上,两轨道间距l=0.5m,左侧接一阻值为R=1?的电阻;有一金属棒静止地放在轨道上,与两轨道垂直,金属棒及轨道的电阻皆可忽略不计,整个装置处于垂直轨道平面竖直向下的匀强磁场中.t=0时,用一外力F沿轨道方向拉金属棒,使棒以加速度a=0.2m/s2做匀加速运动,外力F与时间t的关系如图(乙)所示.(1)求金属棒的质量m
(2)求磁感强度B
(3)当力F达到某一值时,保持F不再变化,金属棒继续运动3秒钟,速度达到1.6m/s且不再变化,测得在这3秒内金属棒的位移s=4.7m,求这段时间内电阻R消耗的电能.
【答案】分析:(1)由图象可知,F与t的关系式,从而根据牛顿第二定律可知,结合特殊点,即可求解;
(2)根据棒做匀加速运动,结合牛顿第二定律,即可求解;
(3)当棒做匀速运动时,则有速度与安培力的关系式,从而求得速度大小,进而可由能量守恒定律,即可求解.
解答:解:由图(乙)知F=0.1+0.05t
(1)F合=F-F安=(0.1+0.05t)
,
考虑t=0时,v=at=0
即 F合=0.1N
牛顿第二定律得:
(2)棒做匀加速运动,
=
=常数
所以
,
解得:
(3)F变为恒力后,金属棒做加速度逐渐减小的变加速运动,经过3秒钟,速度达到最大vm=1.6m/s,此后金属棒做匀速运动.
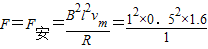
vm=1.6m/s时,F安=0
N=0.4N,
将F=0.4N代入F=0.1+0.05t,求出变加速运动的起始时间为:t=6s,
该时刻金属棒的速度为:v6=at═0.2×6=1.2m/s;
这段时间内电阻R消耗的电能:
答:(1)则金属棒的质量0.5kg;
(2)则磁感强度1T;
(3)当力F达到某一值时,保持F不再变化,金属棒继续运动3秒钟,速度达到1.6m/s且不再变化,测得在这3秒内金属棒的位移s=4.7m,则这段时间内电阻R消耗的电能为1.6J.
点评:解答这类问题的关键是正确分析安培力的大小与方向,然后根据导体棒所处状态列方程求解.
(2)根据棒做匀加速运动,结合牛顿第二定律,即可求解;
(3)当棒做匀速运动时,则有速度与安培力的关系式,从而求得速度大小,进而可由能量守恒定律,即可求解.
解答:解:由图(乙)知F=0.1+0.05t
(1)F合=F-F安=(0.1+0.05t)
考虑t=0时,v=at=0
即 F合=0.1N
牛顿第二定律得:
(2)棒做匀加速运动,
所以
解得:
(3)F变为恒力后,金属棒做加速度逐渐减小的变加速运动,经过3秒钟,速度达到最大vm=1.6m/s,此后金属棒做匀速运动.
vm=1.6m/s时,F安=0
将F=0.4N代入F=0.1+0.05t,求出变加速运动的起始时间为:t=6s,
该时刻金属棒的速度为:v6=at═0.2×6=1.2m/s;
这段时间内电阻R消耗的电能:
答:(1)则金属棒的质量0.5kg;
(2)则磁感强度1T;
(3)当力F达到某一值时,保持F不再变化,金属棒继续运动3秒钟,速度达到1.6m/s且不再变化,测得在这3秒内金属棒的位移s=4.7m,则这段时间内电阻R消耗的电能为1.6J.
点评:解答这类问题的关键是正确分析安培力的大小与方向,然后根据导体棒所处状态列方程求解.
练习册系列答案
相关题目