题目内容
如图所示,M1N1N2M2是位于光滑水平桌面上的刚性U型金属导轨,导轨中接有阻值为R的电阻,它们的质量为m.导轨的两条轨道间的距离为l,PQ是质量为m的金属杆,可在轨道上滑动,滑动时保持与轨道垂直,杆与轨道的接触是粗糙的,杆与导轨的电阻均不计.初始时,杆PQ于图中的虚线处,虚线的右侧为一匀强磁场区域,磁场方向垂直于桌面,磁感应强度的大小为B.现有一位于导轨平面内的与轨道平行的恒力F作用于PQ上,使之从静止开始在轨道上向右作加速运动.已知经过时间t,PQ离开虚线的距离为x,此时通过电阻的电流为I,导轨向右移动的距离为x(导轨的N1N2部分尚未进入磁场区域).求:(1)杆受到摩擦力的大小?
(2)经过时间t,杆速度的大小v为多少?
(3)在此过程中电阻所消耗的能量.(不考虑回路的自感).
【答案】分析:(1)因U型导轨在滑动摩擦力作用下做匀加速度直线运动,根据牛顿第二定律求出杆与导轨之间的摩擦力;
(2)根据法拉第电磁感应定律与闭合电路的欧姆定律,可以求出杆的速度.
(3)杆的合力做功等于杆所增加的动能.
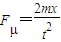
解答:解:(1)因U型导轨在滑动摩擦力作用下做匀加速度直线运动,
则有:Fμ=ma
而:
所以:
根据牛顿第三定律,杆受到的摩擦力大小:
(2)设经过时间t杆的速度为v,则杆与导轨构成的回路中的感应电动势:
E=Blv
根据题意,此时回路中的感应电流:

得:
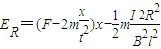
(3)杆的合力做功等于杆所增加的动能,即:

WF为恒力F对杆做的功:WF=Fx
WFμ为摩擦力对杆做的功:WFμ=-Fμ?x
杆克服安培力做的杆等于电阻所消耗的能量,若以ER表示电阻所消耗的能量,
则有-WF安=ER
电阻所消耗的能量:
答:(1)杆受到摩擦力的大小
;
(2)经过时间t,杆速度的大小v为
;
(3)在此过程中电阻所消耗的能量
.
点评:本题综合考查了电磁感应和电路的分析计算.求解本题时关键要弄清物理过程,知道刚性“U”型金属导轨不受安培力作用,只是在摩擦力作用下做加速运动.
(2)根据法拉第电磁感应定律与闭合电路的欧姆定律,可以求出杆的速度.
(3)杆的合力做功等于杆所增加的动能.
解答:解:(1)因U型导轨在滑动摩擦力作用下做匀加速度直线运动,
则有:Fμ=ma
而:
所以:
根据牛顿第三定律,杆受到的摩擦力大小:
(2)设经过时间t杆的速度为v,则杆与导轨构成的回路中的感应电动势:
E=Blv
根据题意,此时回路中的感应电流:
得:
(3)杆的合力做功等于杆所增加的动能,即:
WF为恒力F对杆做的功:WF=Fx
WFμ为摩擦力对杆做的功:WFμ=-Fμ?x
杆克服安培力做的杆等于电阻所消耗的能量,若以ER表示电阻所消耗的能量,
则有-WF安=ER
电阻所消耗的能量:
答:(1)杆受到摩擦力的大小
(2)经过时间t,杆速度的大小v为
(3)在此过程中电阻所消耗的能量
点评:本题综合考查了电磁感应和电路的分析计算.求解本题时关键要弄清物理过程,知道刚性“U”型金属导轨不受安培力作用,只是在摩擦力作用下做加速运动.
练习册系列答案
相关题目