题目内容
不回收的航天器在使用后,将成为太空垃圾.如图所示是飘浮在地球附近的太空垃圾示意图,下列说法中正确的是( )A.离地越高的太空垃圾运行速率越大
B.离地越高的太空垃圾运行角速度越小
C.离地越低的太空垃圾运行周期越大
D.太空垃圾只可能跟同一轨道上的航天器相撞
【答案】分析:太空垃圾的运动与卫星的运动相似,万有引力提供向心力,写出与线速度、角速度和周期有关的公式,根据公式进行讨论即可.
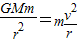
解答:解:A:万有引力提供向心力:
,越高的太空垃圾运行速率越小,故A错误;
B:万有引力提供向心力:
,越高的太空垃圾运行角速度越小,故B 正确;
C:万有引力提供向心力:
,越低的太空垃圾运行角速度越小,故C错误;
D:太空垃圾的轨道与轨道与它相同,但与赤道夹角不同的卫星的轨道由两个交叉点,可能会相撞,但不会与同一轨道上的航天器相撞.故D错误.
故选:B
点评:该题考查万有引力定律的应用,写出与线速度、角速度和周期有关的公式,根据公式进行讨论即可.属于简单题.
解答:解:A:万有引力提供向心力:
B:万有引力提供向心力:
C:万有引力提供向心力:
D:太空垃圾的轨道与轨道与它相同,但与赤道夹角不同的卫星的轨道由两个交叉点,可能会相撞,但不会与同一轨道上的航天器相撞.故D错误.
故选:B
点评:该题考查万有引力定律的应用,写出与线速度、角速度和周期有关的公式,根据公式进行讨论即可.属于简单题.
练习册系列答案
相关题目
| A、由于空气阻力存在,太空垃圾运行轨道半径越来越小,运行速率越来越小,最后坠落到地面 | B、太空垃圾一定能跟同一轨道上的航天器相撞 | C、太空垃圾运行速率可能大于7.9km/s | D、离地越高的太空垃圾运行角速度越小 |
不回收的航天器在使用后,将成为太空垃圾.如图所示是飘浮在地球附近的太空垃圾示意图,下列说法中正确的是( )![]()
| A.离地越高的太空垃圾运行速率越大 |
| B.离地越高的太空垃圾运行角速度越小 |
| C.离地越低的太空垃圾运行周期越大 |
| D.太空垃圾只可能跟同一轨道上的航天器相撞 |