题目内容

一圆柱形气缸直立在地面上,内有一具有质量而无摩擦的绝热活塞,把气缸分成容积相同的A、B两部分,如所示.两部分气体温度相同,都是,A部分气体的压强,B部分气体压强.现对B部分气体加热使活塞上升,保持A部分气体温度不变,使A部分气体体积减小为原来的.求此时

(1)A部分气体的压强

(2)B部分气体的温度

答案:
解析:

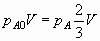
  解:(1)以A部分气体作等温变化,由玻意耳定律:

  ∴

代入得

  (2)B部分气体

初态  

  

末态

  

  

由理想气体状态方程


练习册系列答案
相关题目

违法和不良信息举报电话:027-86699610 举报邮箱:58377363@163.com

精英家教网