题目内容
如图所示,质量为2kg的物体在水平恒力F的作用下在地面上做匀变速直线运动,位移随时间的变化关系为x=t2+t,物体与地面间的动摩擦因数为0.4,取g=10m/s2,以下结论正确的是( )A.匀变速直线运动的初速度为1m/s
B.物体的位移为12m时速度为7m/s
C.水平恒力F的大小为4N
D.水平恒力F的大小为12N
【答案】分析:根据物体做匀变速直线运动的位移时间公式得出物体的初速度和加速度,结合牛顿第二定律求出水平恒力.根据匀变速直线运动的速度位移公式求出物体位移为12m时的速度.
解答:解:A、根据
=t2+t,知v=1m/s,a=2m/s2.故A正确.
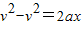
B、根据
得,
m/s=7m/s.故B正确.
C、根据牛顿第二定律得,F-μmg=ma,解得F=ma+μmg=12N.故C错误,D正确.
故选ABD.
点评:本题综合考查了牛顿第二定律和运动学公式,知道加速度是前后联系的桥梁,通过加速度,可以根据力求运动,也可以根据运动求力.
解答:解:A、根据
B、根据
C、根据牛顿第二定律得,F-μmg=ma,解得F=ma+μmg=12N.故C错误,D正确.
故选ABD.
点评:本题综合考查了牛顿第二定律和运动学公式,知道加速度是前后联系的桥梁,通过加速度,可以根据力求运动,也可以根据运动求力.
练习册系列答案
相关题目