题目内容

氢原子基态能量,基态圆周运动电子的轨道半径为.求氢原子处在n=2的激发态时:

(1)原子系统具有的能量.

(2)电子在轨道上运动的动能.

(3)系统具有的电势能.

答案:
解析:

  (1)由,∴

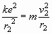
  (2)由,∴

由牛顿第二定律及库仑定律:

     

∴     

  (3)由于,∴电势能


练习册系列答案
相关题目

违法和不良信息举报电话:027-86699610 举报邮箱:58377363@163.com

精英家教网